Chem 261 Final Review

  • AP Chem
  • IB Chem
Reviewed by Editorial Team
The ProProfs editorial team is comprised of experienced subject matter experts. They've collectively created over 10,000 quizzes and lessons, serving over 100 million users. Our team includes in-house content moderators and subject matter experts, as well as a global network of rigorously trained contributors. All adhere to our comprehensive editorial guidelines, ensuring the delivery of high-quality content.
Learn about Our Editorial Process
| By Aaronriobe
A
Aaronriobe
Community Contributor
Quizzes Created: 1 | Total Attempts: 760
| Attempts: 771 | Questions: 98 | Updated: Mar 20, 2025
Please wait...
Question 1 / 99
🏆 Rank #--
0 %
0/100
Score 0/100

1. Specify the number of secondary carbons in compound A.

Explanation

The correct answer is 2. In compound A, there are two secondary carbons. A secondary carbon is a carbon atom that is attached to two other carbon atoms. By examining the structure of compound A, it can be observed that there are two carbon atoms that meet this criterion, therefore the answer is 2.

Submit
Please wait...
About This Quiz
Chem 261 Final Review - Quiz

This 'chem 261 final review' assesses knowledge on organic chemistry topics such as orbital types, bond analysis, electron configurations, and valence electrons. It is designed to test understanding of molecular structures and chemical properties, essential for mastering chemistry.

2.

What first name or nickname would you like us to use?

You may optionally provide this to label your report, leaderboard, or certificate.

2. Which of the following starting materials could be used in the reaction below?

Explanation

The reaction requires both A and B as starting materials because the question states "A and B only." This means that only A and B are suitable for the reaction, and the other options (A and D only, B only, A only) are incorrect.

Submit

3. Which of the following represent(s) a substitution reaction?

Explanation

A substitution reaction occurs when one atom or group of atoms in a molecule is replaced by another atom or group of atoms. In this case, options A and D represent substitution reactions because they involve the replacement of a specific atom or group of atoms in a molecule. Option A involves the substitution of a hydrogen atom with a chlorine atom, while option D involves the substitution of a chlorine atom with a fluorine atom. Thus, A and D only represent substitution reactions.

Submit

4. Which of the following reactions can be classified as oxidations?

Explanation

The given answer "B only" suggests that only reaction B can be classified as an oxidation. This means that reactions A and D do not involve oxidation. Without further information about the reactions, it is difficult to determine the specific reasons why only reaction B is classified as an oxidation. However, oxidation typically involves the loss of electrons or an increase in oxidation state, so it is possible that only reaction B meets these criteria.

Submit

5. How many non-bonding electrons are present in compound A? Assume all atoms are neutral.

Explanation

Compound A has 10 non-bonding electrons. Non-bonding electrons are the electrons that are not involved in any chemical bond. In order to determine the number of non-bonding electrons in compound A, we need to know the electron configuration of its atoms. However, since the question does not provide any information about the atoms present in compound A, we cannot determine the exact electron configuration. Therefore, we can only conclude that compound A has 10 non-bonding electrons based on the given answer.

Submit

6. How many different stereoisomers would be formed in the following reaction?

Explanation

LiAlH4 can attack from one of two different sides, giving two different stereoisomers as products.

Submit

7. Which reagent(s) could be used to carry out the reaction below?

Explanation

PBr3 is the correct answer because it is a reagent commonly used to convert alcohols into alkyl bromides. In this reaction, PBr3 would react with an alcohol to replace the hydroxyl group with a bromine atom, forming an alkyl bromide. The other reagents listed, HBr/Ether, KMnO4, and Br2/H2O, are not typically used for this specific type of reaction.

Submit

8. Ozonolysis of molecule A would result in the formation of what functional groups?

Explanation

Ozonolysis is a chemical reaction that involves the cleavage of carbon-carbon double bonds using ozone. In this case, molecule A would undergo ozonolysis to form two carboxylic acids. This is because ozonolysis typically results in the formation of carbonyl compounds, and carboxylic acids are a type of carbonyl compound. Therefore, the correct answer is two carboxylic acids.

Submit

9. What is the relationship between molecules A and B?

Explanation

Molecules A and B are enantiomers, which means they are non-superimposable mirror images of each other. Enantiomers have the same connectivity of atoms but differ in their spatial arrangement. In other words, they have the same chemical formula but differ in their 3D orientation. This relationship is often seen in chiral molecules, which have an asymmetric carbon atom. Enantiomers have different physical and chemical properties and can exhibit different biological activities.

Submit

10. Which of the following products would be made in the highest yield from the reaction below?

Explanation

Zaitsev's Rule: The more substituted double bond is more stable. Thus, it will be made in higher yield.

Submit

11. Which of the structures contains an aldehyde functional group?

Explanation

Structure A contains an aldehyde functional group. An aldehyde functional group consists of a carbon double bonded to an oxygen atom and single bonded to a hydrogen atom. In structure A, there is a carbon double bonded to an oxygen atom and also bonded to a hydrogen atom, indicating the presence of an aldehyde functional group. None of the other structures contain this specific arrangement of atoms.

Submit

12. True or False. The rate of an SN1 reaction is dependent on the concentration of the nucleophile.

Explanation

The rate of an SN2 reaction is dependent on the concentration of the nucleophile and the concentration of the reactant. The rate of an SN1 reaction is dependent on the rate of only the reactant.

Submit

13. The scheme below is an example of which type of reaction?

Explanation

This is clearly a substitution reaction, but which type? For SN2 reactions, because both parts of the mechanism happen at the same time, you'd get only one product. Here there is two products, so the reaction must be an SN1 reaction.

Submit

14. Which of the following reactions involves a Grignard reagent?

Explanation

Option A is the correct answer because it states that the reaction involves a Grignard reagent. The Grignard reagent is an organometallic compound that is commonly used in organic synthesis. It is formed by reacting an alkyl or aryl halide with magnesium metal. The resulting Grignard reagent can then react with a variety of electrophiles, such as carbonyl compounds, to form new carbon-carbon bonds. Therefore, any reaction that involves a Grignard reagent would fall under option A.

Submit

15. True or False. A tertiary carbon radical is less stable than a secondary carbon radical.

Explanation

A tertiary carbon radical is more stable than a secondary carbon radical. This is because the presence of more alkyl groups attached to the carbon atom increases the electron-donating effect, which stabilizes the radical by dispersing the unpaired electron density. In contrast, a secondary carbon radical has fewer alkyl groups, resulting in less electron donation and therefore lower stability.

Submit

16. A hydrogen bonded to a SP2 carbon is more acidic than a hydrogen bonded to an SP3 carbon.

Explanation

This is true, because alkynes are more stable than alkenes are more stable than alkanes.

Submit

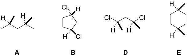
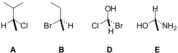
17. Which of the following would be expected to behave as a nucleophile?

Explanation

A nucleophile is a species that donates a pair of electrons to form a new covalent bond. In this question, options A and D are expected to behave as nucleophiles because they are likely to have lone pairs of electrons available for donation. Option B does not have any lone pairs, so it is not expected to behave as a nucleophile. Option E is not mentioned in the question, so it cannot be determined whether it would behave as a nucleophile or not.

Submit

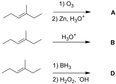
18. Which of the following products would be produced from hydroboration/oxidation of 1-pentyne?

Explanation

BH3 with a terminal alkyne produces a terminal aldehyde.

Submit

19. Acidity increases with increasing atom size.

Explanation

As you go down the periodic table, atom get larger. Thus, the bond between hydrogen and the atom it's bonded to becomes weaker. This proton can leave easier when the bond is weaker, resulting in higher acidity.

Submit

20. Which of the following best describes the expected product of the reaction below?

Explanation

H30+ of a double bond results in markovnikov addition of OH.

Submit

21. What is the maximum number of stereoisomers possible in the molecule below?

Explanation

The molecule shown in the question is a simple molecule with two chiral centers. Each chiral center can have two possible configurations, R or S, resulting in a total of 2 x 2 = 4 possible stereoisomers. However, since the molecule has a plane of symmetry, two of these stereoisomers are identical to their mirror images and are therefore not unique. This leaves us with only 2 unique stereoisomers.

Submit

22. Which of the following reactions would result in meso compounds?

Explanation

OsO4 of an alkene results in syn addition of alcohols to both sides of the double bond (which becomes a single bond). To get a meso compound, we need symmetry in the product of the reaction, as well as chiral centers. In the first two reactions, we have just that. In the third reaction, there is no plane of symmetry, so it is not achiral, and thus not a meso compound.

Submit

23. Determine the expected product(s) of the reaction below.

Explanation

In E2 reactions, the double bond is formed in between the halide and a hydrogen in an antiperiplanar relationship to each other. These problems can be solved by first drawing a chair structure of the reacting molecule. If you draw out the chair structure, Cl ends up in an antiperiplanar position with the hyrogen opposite to the tert-butyl group, so the double bond will be formed there.

Submit

24. Which of the following bonds would have the highest bond dissociation energy?

Explanation

The bond dissociation energy is the energy required to break a bond. In general, triple bonds have higher bond dissociation energies compared to double or single bonds. Therefore, bond E, which is a triple bond, would have the highest bond dissociation energy among the given options.

Submit

25. Assign an E/Z designation to each of the molecules below.

Explanation

Uses Cahn-Ingold-Prelog rules, except on double sides of double bonds.

Submit

26. Specify the number of Chiral Centers in the molecule below.

Explanation

The molecule shown in the question contains two chiral centers. A chiral center is an atom that is bonded to four different groups. In this molecule, there are two carbon atoms, each bonded to four different groups. These carbon atoms are chiral centers because they have the potential to form two different stereoisomers. Therefore, the correct answer is 2.

Submit

27. What is the molecular formula for compound A?

Explanation

The molecular formula for compound A is C6 H12 O2. This is because it has 6 carbon atoms, 12 hydrogen atoms, and 2 oxygen atoms. The formula indicates the exact number and types of atoms present in the compound, allowing for its identification.

Submit

28. The scheme below is an example of which type of reaction?

Explanation

The given scheme represents an elimination reaction. In an elimination reaction, a molecule loses atoms or groups from its structure, resulting in the formation of a double bond or a ring. This can be observed in the scheme provided, where a molecule is undergoing a process of eliminating atoms or groups to form a double bond or a ring structure. Therefore, the correct answer is elimination.

Submit

29. Ozonolysis of molecule A would result in the formation of what two functional groups?

Explanation

Ozonolysis of molecule A would result in the formation of a ketone and an aldehyde. Ozonolysis is a reaction in which ozone (O3) is used to cleave carbon-carbon double bonds. In this case, the molecule A likely contains a carbon-carbon double bond. The ozone will react with the double bond, breaking it and forming two carbonyl groups. One of the carbonyl groups will be a ketone, which is a carbonyl group bonded to two carbon atoms. The other carbonyl group will be an aldehyde, which is a carbonyl group bonded to at least one hydrogen atom. Therefore, the correct answer is a ketone and an aldehyde.

Submit

30. Rank the following ions in order of increasing nucleophilicity.

Explanation

Negatively charged atoms make better nucleophiles than neutral atoms. Thus, B and E are better nucleophiles than A and C. Between B and D, oxygen is a more electronegative element than iodine. Electronegative elements like to hold onto their electrons more tightly, and nucleophilicity is the measure of how well an atom donates a pair of electrons to form a covalent bond. Because of this, D is a better nucleophile than B. This is also the reason C is a better nucleophile than A.

Submit

31. Which of the following statements is true for an SN2 reaction?

Explanation

In an SN2 reaction, the rate of reaction is dependent on the concentration of the nucleophile. This means that as the concentration of the nucleophile increases, the rate of the reaction also increases. This is because the nucleophile is responsible for attacking the electrophilic carbon and replacing the leaving group. Therefore, a higher concentration of nucleophile increases the likelihood of successful collisions between the nucleophile and the electrophilic carbon, leading to a faster reaction rate.

Submit

32. Which of the following reactions would result in formation of an aldehyde?

Explanation

BH3 of a terminal alkyne forms an aldehyde. COCl2, DMSO, NE t3 is the same as DMP, meaning it's a weak oxidant. DMP of a primary alcohol would form an aldehyde, but we have a secondary alcohol there, so it'd result in a ketone instead. NaBH4 is a weak H- source, and it cannot reduce carboxylic acids, so no reaction would occur.

Submit

33. What is the expected product of an E2 reaction starting with molecule X?

Explanation

To do these problems, draw Br and H in an anti-periplanar set up and create the double bond between them. whatever you have as a wedge (coming towards you) will be cis to each other on opposite sides of the bond, and whatever you have as a dash (going away from you) will be cis to each other.

Submit

34. Which of the following reactions would result in the formation of a cis alkene?

Explanation

H2/Lindlar Catalyst of an alkyne results in a cis alkene. Li/NH3 of an alkyne results in a trans alkene. 2HX results in markovnikov addition of X, twice.

Submit

35. Addition of the Dess-Martin periodinane to 2-propanol would result in which functional group?

Explanation

When Dess-Martin periodinane is added to 2-propanol, it oxidizes the alcohol group of 2-propanol to form a ketone. This is because Dess-Martin periodinane is a strong oxidizing agent that is commonly used for the selective oxidation of primary and secondary alcohols to aldehydes and ketones, respectively. In this case, since 2-propanol is a secondary alcohol, it will be oxidized to form a ketone. Therefore, the correct answer is "A ketone".

Submit

36. What of the following best describes the expected product of the reaction below?

Explanation

The expected product of the reaction is a secondary alcohol. This is because the reaction involves the addition of a nucleophile to a carbonyl group, which results in the formation of an alcohol. In this case, since the carbonyl group is a ketone, the nucleophile will attack the carbon atom adjacent to the carbonyl group, resulting in the formation of a secondary alcohol.

Submit

37. Acidity across the periodic table decreases with electronegativity.

Explanation

False. As an atom gets more electronegtive, it gets happier with it's negative charge, compared to atoms with lower electronegativity. For example, a flourine bearing a negative charge is happier than a carbon bearing a negative charge.

Submit

38. Which of the following is the best leaving group?

Explanation

The best leaving group is the one that can easily accept the electron pair and leave the molecule. In this case, option D is the best leaving group because it is a halogen (such as chlorine or bromine), which are known to be good leaving groups. Halogens have a high electronegativity and a large atomic size, which makes them stable when they leave a molecule. Option D is the correct answer.

Submit

39. Rank the following molecules in order of increasing basicity (weakest to strongest base).

Explanation

The basicity of a molecule refers to its ability to accept a proton. In this case, the molecules are ranked in order of increasing basicity. According to the given answer, molecule A is the weakest base, followed by molecule D, then B, and finally C, which is the strongest base.

Submit

40. Determine the rate equation for the reaction below.

Explanation

First, we look at what kind of reaction this is. Since there's only one product, it must be SN2. Because it's SN2, the rate is dependent on both the nucleophile and reactant.

Submit

41. Which of the following reactions would NOT result in a 50/50 mixture of stereoisomers?

Explanation

A would remove the double bond O and H, and add two carbons to that third carbon. This would result in pentane, which has no chiral centers, so there is only one product and NOT a 50/50 mixture of stereoisomers.

B would result in a terminal alcohol. There would be no chiral centers in this molecule, and so there'd only be one product, thus NOT a 50/50 mixture of stereoisomers.

D is a grignard reagent, and would do the same as A, except it would add a propene (on the double bond side) to the third carbon instead of an ethyl. It could add on in two ways, forming either E stereochemistry or Z stereochemistry. These WOULD be formed in a 50/50 mixture. Thus, the answer is A & B only.

Submit

42. Which set of reagents could be used in the reaction below?

Explanation

First, we want to change the ester to an alcohol. We can do this with LiAlH4, a strong source of H- (unlike NaBH4, a weak source, which cannot react with esters or carboxylic acids). Then, we want to substitute the alcohol with Br, which can be done with PBr3 (which, remember, only works on primary and secondary carbons!)

Submit

43. Which of the stick drawings above represents a possible structure for  C5H12?

Explanation

not-available-via-ai

Submit

44. What is the relationship between molecules A and B?

Explanation

Molecules A and B are constitutional isomers because they have the same molecular formula but different connectivity of atoms. This means that the atoms are arranged in a different order in each molecule, resulting in different chemical properties and structures.

Submit

45. What types of orbitals are used to make bond A?

Explanation

The correct answer is sp3-sp3. This suggests that the orbitals involved in bond A are sp3 hybrid orbitals. These hybrid orbitals are formed by mixing one s orbital and three p orbitals, resulting in four sp3 hybrid orbitals that are arranged in a tetrahedral geometry. These hybrid orbitals are then used to form sigma bonds with other atoms, resulting in a stable molecule.

Submit

46. Which of the following would not be an expected product of the allylic bromination below?

Explanation

NBS adds Br to a carbon adjacent to the double bond. Note that while B seems impossible, it's actually formed from a resonance structure from the radical on an adjacent carbon.

Submit

47. Assign values to bond angles A and B in the structure above.

Explanation

The given structure is likely a molecule with a trigonal planar geometry. In a trigonal planar geometry, the bond angles between the three atoms are usually 120°. Therefore, the value of A is 120°. However, the bond angle between the central atom and one of the outer atoms may differ. In this case, the value of B is 109.5°, which is the typical bond angle in a tetrahedral geometry.

Submit

48. Rank the following carbocations in order of increasing stability.

Explanation

There is a positive charge in D adjacent to a double bond. This results in resonance stabilization of the molecule, making it more stable than A and B. Between A and B, A is a primary carbocation, and B is a secondary carbocation, and tertiary carbocations > secondary > primary carbocations in terms of stability.

Submit

49. Which of the following best describes the expected product of the reaction below?

Explanation

Using a Grignard reagent and a carbohalide on an ester results in a tertiary alcohol.

Submit

50. What are the formal charges on atoms A and B, respectively in the above structure?

Explanation

In the given structure, atom A has a formal charge of +1 because it has one more proton than electrons. Atom B has a formal charge of 0 because it has the same number of protons and electrons.

Submit

51. How many valence electrons does Phosphorous (P) have?

Explanation

Phosphorous (P) is located in group 15 of the periodic table, which means it has 5 valence electrons. Valence electrons are the electrons in the outermost energy level of an atom and they play a crucial role in determining the chemical properties and reactivity of an element. Therefore, the correct answer is 5.

Submit

52. Which of the labeled protons below is most acidic?

Explanation

Proton D is the most acidic because it is located on a carboxylic acid functional group, which is a strong acid. The carboxylic acid functional group is known to donate a proton easily, making it more acidic compared to the other labeled protons. Proton B, A, and E are not as acidic because they are not located on a functional group that readily donates a proton.

Submit

53. Determine the degree(s) of unsaturation for the molecule below.

Explanation

Rings add one degree of unsaturation, double bonds also add one degree of unsaturation, and triple bonds add two degrees of unsaturation.

Submit

54. Determine the conformational preferences (axial or equatorial) for the two indicated groups in the lowest energy ring flip of the molecule above.

Explanation

In a ring flip, the chair conformation of a molecule is converted to its mirror image. The axial position refers to substituents that are perpendicular to the plane of the ring, while the equatorial position refers to substituents that are in the plane of the ring. The lowest energy conformation will have the most stable arrangement of substituents. In this case, A is in the axial position and B is in the equatorial position. The axial position is less stable due to steric hindrance with neighboring substituents, so it is preferred to have the larger substituent (B) in the more stable equatorial position.

Submit

55. What is the stereochemical relationship between the expected products of the substitution reaction below?

Explanation

Br is on a tertiary carbon, and SN2 reactions do not occur on tertiary carbons. Because of that, we know this is an SN1 reaction, and there will be two products. Because the H2O is only going to change one chiral center, the two products will be diastereomers to each other.

Submit

56. Ozonolysis of molecule A would result in the formation of what functional groups?

Explanation

Ozonolysis is a reaction that involves the cleavage of carbon-carbon double or triple bonds by ozone. In molecule A, the reaction would result in the formation of two aldehydes. This is because the double bond in molecule A would be cleaved, resulting in the formation of two separate carbonyl groups, which are characteristic of aldehydes. Therefore, the correct answer is two aldehydes.

Submit

57. Rank the labeled protons in order of increasing pKa.

Explanation

The pKa value is a measure of the acidity of a proton. In this case, the labeled protons are D, B, and A. The order of increasing pKa means that the proton with the lowest pKa value is ranked first, followed by the proton with the next lowest pKa value, and so on. Therefore, the correct answer is D, B, A, indicating that proton D has the lowest pKa, followed by proton B, and then proton A.

Submit

58. Which of the following represents the ground state electron configuration of Nitrogen?

Explanation

The ground state electron configuration of an atom represents how the electrons are distributed in the atom's energy levels. Nitrogen has an atomic number of 7, meaning it has 7 electrons. The electron configuration of Nitrogen is 1s2 2s2 2p3, which means that there are 2 electrons in the 1s orbital, 2 electrons in the 2s orbital, and 3 electrons in the 2p orbital. This configuration follows the Aufbau principle, which states that electrons fill the lowest energy levels first before moving to higher energy levels.

Submit

59. Which of the following thermodynamic values describes an endothermic reaction?

Explanation

An endothermic reaction is a reaction that absorbs heat from its surroundings, causing an increase in the enthalpy (∆H) of the system. A positive value for ∆H indicates that the reaction is endothermic, as it requires the input of energy to proceed. Therefore, ∆H being a positive number is the correct answer to describe an endothermic reaction.

Submit

60. Determine the degree(s) of unsaturation for a molecule with the formula C6H11NO.

Explanation

Degrees of Unsaturation = [(Number of Carbons x 2) + 2 - Number of Hydrogens] / 2
Oxygens can be ignored.
Halides count as a hydrogen.
Nitrogen counts as half a carbon.

Submit

61. Which of these are meso compounds?

Explanation

Meso compounds are stereoisomers that have an internal plane of symmetry, meaning they are superimposable on their mirror images. In this case, the correct answer is "D only" because it is the only option that represents a compound with an internal plane of symmetry. The other options do not have a plane of symmetry and therefore cannot be classified as meso compounds.

Submit

62. Which of the following reagents could be used in the reaction below?

Explanation

H30+ could be used in the reaction because it is a strong acid, which can donate a proton to the reactant and initiate a reaction. The presence of H30+ indicates that the reaction involves an acid-base reaction or proton transfer.

Submit

63. Which of the following chair structures represents the lowest energy conformation of cis-1-methyl-2-isopropylcyclohexane?

Explanation

The chair structure in option D represents the lowest energy conformation of cis-1-methyl-2-isopropylcyclohexane because it has the least amount of steric strain. In this conformation, the bulky methyl and isopropyl groups are in equatorial positions, which minimizes the repulsion between these groups and the neighboring hydrogen atoms. This arrangement allows for maximum stability and lower energy compared to the other chair structures.

Submit

64. Which of the following products would be obtained in the highest yield from the reaction below?

Explanation

CHCl3/KOH of a double bond results in a dichlorocyclopropane in place of the double bond.

Submit

65. Which of the following products would be produced from hydroboration/oxidation of 1-methylcyclopentene?

Explanation

BH3 results in antimarkovnikov addition of OH.

Submit

66. Which of the following reactions would result in the formation of a secondary alcohol?

Explanation

The correct answer is D only. This means that only the reaction D would result in the formation of a secondary alcohol. The other reactions, A and B, do not lead to the formation of a secondary alcohol.

Submit

67. Rank the following substituents from lowest to highest priority according to the Cahn-Ingold-Prelog rules.

Explanation

Double bonds have higher priority than single bonds (in terms of bonds to the same element). Similarly, triple bonds have higher priority than double bonds.

Submit

68.

Explanation

not-available-via-ai

Submit

69. How many non-bonding electrons are present in compound A? Assume all atoms are neutral.

Explanation

Compound A must have 12 non-bonding electrons. Non-bonding electrons are the electrons that are not involved in any chemical bond. In a neutral compound, the number of non-bonding electrons can be determined by subtracting the number of bonding electrons from the total valence electrons of the atoms in the compound. Since the question does not provide any information about the compound or its atoms, it is not possible to determine the exact number of non-bonding electrons.

Submit

70. Which of the above chair structures represents the lowest energy conformation of trans-1-fluoro-3-isopropylcyclohexane?

Explanation

The chair structure D represents the lowest energy conformation of trans-1-fluoro-3-isopropylcyclohexane. In this conformation, the bulky isopropyl group and the fluorine atom are in equatorial positions, which reduces steric hindrance and increases stability. The other chair structures (A, B, and E) have the isopropyl group and fluorine atom in axial positions, leading to higher energy and less stability.

Submit

71. Which of the following reactions would have a positive ∆S?

Explanation

∆S is entropy, and a positive ∆S means the products have higher disorder. There's one reactant in B and 3 products, meaning there is increased disorder, and thus a positive ∆S. In A, there is two reactants and only one product, so ∆S is negative and there's lowered disorder.

Submit

72. Which of the following reagents could be used in the reaction below?

Explanation

SOCl2 would not work because it's a substitution reaction that only works on primary and secondary carbons.

Submit

73. What functional groups are present in this molecule?

Explanation

The correct answer is an amide and an ether. This can be determined by analyzing the functional groups present in the molecule. An amide is characterized by the presence of a carbonyl group bonded to a nitrogen atom, and an ether is characterized by the presence of an oxygen atom bonded to two alkyl or aryl groups. Therefore, based on the given options, the molecule contains an amide and an ether functional group.

Submit

74. Which of the following is NOT a valid IUPAC name?

Explanation

not-available-via-ai

Submit

75. How many sigma bonds are there in the compound above?

Explanation

The compound mentioned in the question likely contains multiple carbon atoms bonded to each other and to other elements. Each carbon atom can form up to four sigma bonds, which are formed by the overlap of atomic orbitals. Since the correct answer is 11, it suggests that there are multiple carbon atoms in the compound, each forming four sigma bonds, and there may be additional sigma bonds involving other elements.

Submit

76. Specify the number of primary carbons in compound A.

Explanation

Compound A has 3 primary carbons. Primary carbons are carbons that are directly bonded to only one other carbon atom. In this case, there are three carbons in compound A that are bonded to only one other carbon atom.

Submit

77. Rank molecules A, B, and D in order of increasing pKa of the most acidic proton in each.

Explanation

Across the periodic table, electronegativity increases, and because of that, pKa increases, meaning B would have a lower pKa than A. As for D, if you remove the hydrogen from the alcohol, you get electron delocalization with the adjacent double bond on the other oxygen. Thus, D has a lower pKa than B and A.

Submit

78. Which of the following is the enantiomer of molecule X?

Explanation

not-available-via-ai

Submit

79. What functional groups are present in the molecule?

Explanation

The correct answer is An amide and an ether. This can be determined by analyzing the molecule's structure. An amide functional group is characterized by a carbonyl group bonded to a nitrogen atom, which is present in the molecule. Additionally, an ether functional group is characterized by an oxygen atom bonded to two carbon atoms, which is also present in the molecule. Therefore, the molecule contains both an amide and an ether functional group.

Submit

80. Which of the following structures contains a ketone functional group?

Explanation

The correct answer is A and E only. In structure A, there is a ketone functional group present, indicated by the double-bonded oxygen atom bonded to a carbon atom. In structure B, there is an aldehyde functional group, not a ketone. In structure D, there is an alcohol functional group, not a ketone. Therefore, the structures containing a ketone functional group are A and E.

Submit

81. Which of the following reactions would NOT result in a 50/50 mixture of stereoisomeric products?

Explanation

The first step in approaching these kind of problems is to find out the chirality of the reactant. Reaction A has no chiral centers in the reactant. Reaction B already has one chiral center in the reactant.

From this, the next step is to find out the chirality of the products. Reaction A would result in two products, one with the Chlorine towards us and the hydrogen away, and one with the Cl away from us and the hydrogen towards us. Because that's the only chiral center, the two products must be enantiomers, and enantiomers are formed in 50/50 mixtures.

As for reaction B, the same thing would happen, where we end up with chlorine either towards or away from us. Because there was already a chiral center before, in this second molecule, AND because that chiral center does NOT change in R/S designation (as it's drawn, it's R), we get two molecules that are DIASTEREOMERS to each other. Diastereomers are not formed in 50/50 mixtures. Thus, the answer is reaction B.

Submit

82. What is the stereochemical relationship between the expected products of the reaction below?

Explanation

The stereochemical relationship between the expected products of the reaction is that they are diastereomers. Diastereomers are stereoisomers that are not mirror images of each other and have different physical and chemical properties. In this case, the reaction is expected to produce two different products that have different stereochemistry, making them diastereomers.

Submit

83. Which of the following synthetic routes could be used to generate molecule 2 from molecule 1?

Explanation

HCl first would add Cl to the more substituted side of the double bond, and H2/Pd catalyst would do nothing after that because of a lack of a double bond.

H3O+ would add an alcohol to the more substituted side of the double bond, and HCl would replace the OH with Cl, giving us the same product as the first reaction, which is incorrect.

BH3/H2O2, NaOH would add OH to the less substituted side of the double bond. SOCl2 would replace the OH with Cl, but you'd have one too many carbons. Also incorrect.

O3/SMe2 would create an aldehyde. NaBH4 would then reduce the double bonded oxygen to an OH (a primary alcohol). Then, SOCl2 would replace the OH with Cl, creating the correctly structured atom from the figure. This is the correct answer.

Submit

84. Which of the following compounds are drawn in the cis configuration?

Explanation

The correct answer is "B only" because in the given options, only B is drawn in the cis configuration. The cis configuration refers to the arrangement of atoms or groups on the same side of a molecule, while the trans configuration refers to the arrangement of atoms or groups on opposite sides. Since only option B is drawn with atoms or groups on the same side, it is the only compound in cis configuration.

Submit

85. What types of orbitals are used to make bond A in the structure above?

Explanation

The correct answer is sp2-sp3. In the given structure, bond A is formed between two atoms. One atom is hybridized with sp2 orbitals, while the other atom is hybridized with sp3 orbitals. The sp2 orbital from one atom overlaps with the sp3 orbital from the other atom to form the bond. This combination of hybridized orbitals allows for the formation of a sigma bond between the two atoms.

Submit

86. Which of the following protons (HA, HB, and HD) is most acidic?

Explanation

If you remove HB, you'd be left with a carbanion at that spot. Because there would then be a negative charge adjacent to a double bond, there can be electron delocalization, resulting in resonance structures, that would stabilize the overall product. Thus, HB is most acidic.

Submit

87. Assign an R/S designation to each of the molecules below.

Explanation

The given answer states that molecule A has an R configuration and molecule B also has an R configuration. This means that both molecules have the same spatial arrangement of their substituents, with the highest priority group oriented to the right. The answer does not provide any further information about the molecules or the specific substituents involved.

Submit

88. Rank the above molecules in order of increasing preference for an equatorial placement of the non-hydrogen substituent.

Explanation

The correct answer is E, B, A, D. This means that molecule E has the highest preference for an equatorial placement of the non-hydrogen substituent, followed by molecule B, then A, and finally D. The preference for an equatorial placement is determined by steric hindrance. Molecules with larger substituents experience more steric hindrance and therefore prefer to have the substituent in the equatorial position to minimize repulsion with other atoms or groups. Molecule E likely has the largest substituent, followed by B, A, and D in decreasing order of size.

Submit

89. Which of the following molecules are chiral?

Explanation

Molecules are considered chiral if they are not superimposable on their mirror image. In this case, option B and D are the only molecules that are chiral. Option A is not chiral because it is symmetrical and can be superimposed on its mirror image. Option C is not chiral because it is a linear molecule and lacks a chiral center. Therefore, the correct answer is B and D only.

Submit

90. What are the formal charges on atoms A and B, respectively in the above structure?

Explanation

In the given structure, atom A has a formal charge of 0 because it has 4 valence electrons and is bonded to 4 other atoms, resulting in a full octet. Atom B has a formal charge of +1 because it has 5 valence electrons and is bonded to 4 other atoms, resulting in one fewer electron than it would have in a neutral state.

Submit

91. Which of the following represents the IUPAC name for compound A?

Explanation

The IUPAC name for compound A is 4-ethyl-2-methylheptane. This is because the compound has a 4-carbon chain (propyl) attached to the second carbon (2-methyl) of a 7-carbon chain (heptane). Additionally, there is an ethyl group attached to the fourth carbon of the 7-carbon chain.

Submit

92. Rank the labeled protons in order of increasing pKa.

Explanation

The pKa value is a measure of the acidity of a proton. A lower pKa value indicates a stronger acid. In this question, the correct answer is D, B, A. This means that proton D is the weakest acid, followed by proton B, and proton A is the strongest acid among the labeled protons.

Submit

93. Which of the following compounds are drawn in the R configuration?

Explanation

The correct answer is "B only" because in the question it is asked which compounds are drawn in the R configuration. The R configuration refers to the arrangement of substituents around a chiral center in a molecule. In this case, only compound B is drawn in the R configuration, while the other compounds (A, D, and E) are not.

Submit

94. How many sigma bonds are there in the compound above?

Explanation

The compound in the question likely contains multiple carbon atoms, as carbon is known to form sigma bonds. Each carbon atom can form up to four sigma bonds. Since the correct answer is 15, it suggests that there are multiple carbon atoms in the compound, with each carbon atom forming four sigma bonds.

Submit

95. Which of the following represents the IUPAC name for compound A?

Explanation

The compound is a heptane with a chlorine atom attached to the third carbon and an ethyl group attached to the fourth carbon. Therefore, the correct IUPAC name for the compound is 3-chloro-4-ethylheptane.

Submit

96. Determine the orbital hybridization states for atoms A, B, and D.

Explanation

For atom A, the nitrogen has a lone pair that wants to delocalize its electrons, creating a resonance structure. Thus, a double bond would be formed to that nitrogen and you'd get an sp2 orbital.

Submit

97. Determine the stereoconfiguration (R,S) of carbons A and B in the molecule below.

Explanation

The stereoconfiguration of carbons A and B in the molecule is A = S, B = R. This means that the substituents around carbon A are arranged in a counterclockwise direction (S configuration), while the substituents around carbon B are arranged in a clockwise direction (R configuration).

Submit

98. Rank the molecules below in order of increasing preference for an equatorial placement of the non-hydrogen substituent.

Explanation

The answer B,E,A,D ranks the molecules in increasing preference for an equatorial placement of the non-hydrogen substituent. In a cyclohexane molecule, substituents prefer to be in the equatorial position to minimize steric hindrance. The molecule with the highest preference will have the substituent in the equatorial position, while the molecule with the lowest preference will have the substituent in the axial position. Therefore, B,E,A,D is the correct ranking as it places the substituents in increasing order of preference for the equatorial position.

Submit
×
Saved
Thank you for your feedback!
View My Results
Cancel
  • All
    All (98)
  • Unanswered
    Unanswered ()
  • Answered
    Answered ()
Specify the number of secondary carbons in compound A.
Which of the following starting materials could be used in the...
Which of the following represent(s) a substitution reaction?
Which of the following reactions can be classified as oxidations?
How many non-bonding electrons are present in compound A? Assume all...
How many different stereoisomers would be formed in the following...
Which reagent(s) could be used to carry out the reaction below?
Ozonolysis of molecule A would result in the formation of what...
What is the relationship between molecules A and B?
Which of the following products would be made in the highest yield...
Which of the structures contains an aldehyde functional group?
True or False. The rate of an SN1 reaction is dependent on the...
The scheme below is an example of which type of reaction?
Which of the following reactions involves a Grignard reagent?
True or False. A tertiary carbon radical is less stable than a...
A hydrogen bonded to a SP2 carbon is more acidic than a hydrogen...
Which of the following would be expected to behave as a nucleophile?
Which of the following products would be produced from...
Acidity increases with increasing atom size.
Which of the following best describes the expected product of the...
What is the maximum number of stereoisomers possible in the molecule...
Which of the following reactions would result in meso compounds?
Determine the expected product(s) of the reaction below.
Which of the following bonds would have the highest bond dissociation...
Assign an E/Z designation to each of the molecules below.
Specify the number of Chiral Centers in the molecule below.
What is the molecular formula for compound A?
The scheme below is an example of which type of reaction?
Ozonolysis of molecule A would result in the formation of what two...
Rank the following ions in order of increasing nucleophilicity.
Which of the following statements is true for an SN2 reaction?
Which of the following reactions would result in formation of an...
What is the expected product of an E2 reaction starting with molecule...
Which of the following reactions would result in the formation of a...
Addition of the Dess-Martin periodinane to 2-propanol would result in...
What of the following best describes the expected product of the...
Acidity across the periodic table decreases with electronegativity.
Which of the following is the best leaving group?
Rank the following molecules in order of increasing basicity (weakest...
Determine the rate equation for the reaction below.
Which of the following reactions would NOT result in a 50/50 mixture...
Which set of reagents could be used in the reaction below?
Which of the stick drawings above represents a possible structure for...
What is the relationship between molecules A and B?
What types of orbitals are used to make bond A?
Which of the following would not be an expected product of the allylic...
Assign values to bond angles A and B in the structure above.
Rank the following carbocations in order of increasing stability.
Which of the following best describes the expected product of the...
What are the formal charges on atoms A and B, respectively in the...
How many valence electrons does Phosphorous (P) have?
Which of the labeled protons below is most acidic?
Determine the degree(s) of unsaturation for the molecule below.
Determine the conformational preferences (axial or equatorial) for the...
What is the stereochemical relationship between the expected products...
Ozonolysis of molecule A would result in the formation of what...
Rank the labeled protons in order of increasing pKa.
Which of the following represents the ground state electron...
Which of the following thermodynamic values describes an endothermic...
Determine the degree(s) of unsaturation for a molecule with the...
Which of these are meso compounds?
Which of the following reagents could be used in the reaction below?
Which of the following chair structures represents the lowest energy...
Which of the following products would be obtained in the highest yield...
Which of the following products would be produced from...
Which of the following reactions would result in the formation of a...
Rank the following substituents from lowest to highest priority...
How many non-bonding electrons are present in compound A? Assume all...
Which of the above chair structures represents the lowest energy...
Which of the following reactions would have a positive ∆S?
Which of the following reagents could be used in the reaction below?
What functional groups are present in this molecule?
Which of the following is NOT a valid IUPAC name?
How many sigma bonds are there in the compound above?
Specify the number of primary carbons in compound A.
Rank molecules A, B, and D in order of increasing pKa of the most...
Which of the following is the enantiomer of molecule X?
What functional groups are present in the molecule?
Which of the following structures contains a ketone functional group?
Which of the following reactions would NOT result in a 50/50 mixture...
What is the stereochemical relationship between the expected products...
Which of the following synthetic routes could be used to generate...
Which of the following compounds are drawn in the cis configuration?
What types of orbitals are used to make bond A in the structure above?
Which of the following protons (HA, HB, and HD) is most acidic?
Assign an R/S designation to each of the molecules below.
Rank the above molecules in order of increasing preference for an...
Which of the following molecules are chiral?
What are the formal charges on atoms A and B, respectively in the...
Which of the following represents the IUPAC name for compound A?
Rank the labeled protons in order of increasing pKa.
Which of the following compounds are drawn in the R configuration?
How many sigma bonds are there in the compound above?
Which of the following represents the IUPAC name for compound A?
Determine the orbital hybridization states for atoms A, B, and D.
Determine the stereoconfiguration (R,S) of carbons A and B in the...
Rank the molecules below in order of increasing preference for an...
play-Mute sad happy unanswered_answer up-hover down-hover success oval cancel Check box square blue
Alert!