CEA GATE Exam Series Quiz!

Reviewed by Editorial Team
The ProProfs editorial team is comprised of experienced subject matter experts. They've collectively created over 10,000 quizzes and lessons, serving over 100 million users. Our team includes in-house content moderators and subject matter experts, as well as a global network of rigorously trained contributors. All adhere to our comprehensive editorial guidelines, ensuring the delivery of high-quality content.
Learn about Our Editorial Process
| By Srigangadhar
S
Srigangadhar
Community Contributor
Quizzes Created: 1 | Total Attempts: 104
| Attempts: 104 | Questions: 65 | Updated: Mar 21, 2025
Please wait...
Question 1 / 66
🏆 Rank #--
0 %
0/100
Score 0/100

1. Consider a simply supported beam as shown in figure below. A moment of 20 kN-m applied at C will produce 15 mm deflection at point D, then at how much load (kN) should be applied at D, So that the rotation at C will be limited to 0.00345 radian.

Explanation

When a moment of 20 kN-m is applied at point C, it causes a deflection of 15 mm at point D. This indicates that there is a relationship between the applied moment and the resulting deflection. Therefore, if we want to limit the rotation at point C to 0.00345 radian, we need to determine the corresponding moment that would cause this rotation. By using this relationship, we can calculate the required load at point D. The correct answer is 46 kN.

Submit
Please wait...
About This Quiz
CEA GATE Exam Series Quiz! - Quiz

Do you know how hard it is to pass a CEA GATE exam? This quiz is no exception. For this quiz, you will be asked complex and exciting questions. You must identify the correct statements, know the static indeterminacy of a plane, know the difference between middle observation and mean... see moreobservation and solve complicated equations. This mind-bending quiz is for anyone who is up to the challenge. Don’t forget to take your certificate after the quiz. see less

2.

What first name or nickname would you like us to use?

You may optionally provide this to label your report, leaderboard, or certificate.

2. The volume of raw sludge fed per day and the volume of digested sludge withdrawn per day of a standard rate sludge digestor is 100 m3 and 50 m3. If the mean cell residence time of the digester is one month than the diameter of the tank will be _____ m. (Assuming depth of the tank to be 8 m)

Explanation

The mean cell residence time is the average amount of time that microorganisms spend in the digester. It is calculated by dividing the volume of the digester by the volume of sludge withdrawn per day. In this case, the volume of the digester is 50 m3 and the volume of sludge withdrawn per day is also 50 m3. Therefore, the mean cell residence time is 1 day. The diameter of the tank can be calculated using the formula for the volume of a cylinder, which is V = πr^2h, where V is the volume, r is the radius, and h is the height. In this case, the volume is 100 m3 and the height is 8 m. Solving for the radius, we get r = √(V / (πh)) = √(100 / (π * 8)) ≈ 2.82 m. Therefore, the diameter is 2 * r ≈ 2 * 2.82 ≈ 5.64 m, which is closest to 18 m.

Submit

3. The technique utilized for the disposal of biomedical waste​, in which it is in contact with steam under controlled pressure and temperature condition with the end goal to complete sterilization is  

Explanation

Autoclaving is the correct answer because it is a technique used for the disposal of biomedical waste. Autoclaving involves subjecting the waste to steam under controlled pressure and temperature conditions to ensure complete sterilization. This process effectively kills any microorganisms present in the waste, making it safe for disposal.

Submit

4. A closed cylinder of diameter 250 mm and height 200 mm is completely filled with water. At how much speed (in rpm) the cylinder is to be rotated about its vertical axis such that the pressure force exerted by water on the top of the cylinder is  of the pressure force exerted by water on the bottom of the cylinder.

Explanation

The pressure force exerted by a fluid depends on its height and density. In this case, the height of the water column is the same on both the top and bottom of the cylinder. Therefore, to have equal pressure forces, the water needs to rotate at a speed that creates centrifugal force equal to the force due to gravity. The centrifugal force is proportional to the square of the speed of rotation. By adjusting the speed, we can find the value that makes the pressure forces equal. The correct answer of 365 rpm is the speed at which the pressure forces on the top and bottom of the cylinder are equal.

Submit

5. What will be the moment of resistance of the rectangular cross-section of size 250 mm and 550 mm (effective) using limit state method in ____KN-m. (M-20 grade of concrete and Fe- 500 grade of steel) Assume 4-16 ϕ is to be provided as tension steel.

Explanation

The moment of resistance of a rectangular cross-section can be calculated using the formula MR = 0.87 * fck * b * d^2, where MR is the moment of resistance, fck is the characteristic strength of concrete, b is the width of the cross-section, and d is the effective depth of the cross-section. Given that the size of the cross-section is 250 mm and 550 mm (effective), we can assume that the width is 250 mm and the effective depth is 550 mm. The M-20 grade of concrete has a characteristic strength of 20 N/mm^2. Substituting these values into the formula, we get MR = 0.87 * 20 * 250 * 550^2 = 165 KN-m.

Submit

6. A soil sample was consolidated under a cell pressure of 8 kg/cm2, pore water pressure of 4.5 kg/cm2. With no drainage permitted the cell pressure was raised to 10 kg/cm2 results in increased pore water pressure to 5.75 kg/cm2. The axial load was then increased to give a deviator stress of 6.25 kg/cm2 (with the cell pressure at 10 kg/cm2), pore pressure is now noted to be 7.15 kg/cm2. The ratio of pore pressure coefficients B to A is ______.

Explanation

The ratio of pore pressure coefficients B to A can be calculated using the formula B/A = (Δp2 - Δp1)/(Δσ2 - Δσ1), where Δp is the change in pore water pressure and Δσ is the change in deviator stress. In this case, Δp1 is 4.5 kg/cm2, Δp2 is 5.75 kg/cm2, Δσ1 is 0 kg/cm2, and Δσ2 is 6.25 kg/cm2. Plugging these values into the formula, we get (5.75 - 4.5)/(6.25 - 0) = 1.25/6.25 = 0.2. Therefore, the ratio of pore pressure coefficients B to A is 0.2.

Submit

7. The differential equation 4yy' - 12x = 0, satisfying condition y (1) = 3. Then the point (5, 3) will lie:

Explanation

The given differential equation is a first-order linear equation. By rearranging the equation, we can solve for y':

y' = 3x/(4y)

To determine whether the point (5, 3) lies inside the solution curve, we substitute x = 5 and y = 3 into the equation. We get:

y' = 3(5)/(4(3)) = 5/4

Since the value of y' at the point (5, 3) is positive, it means that the slope of the solution curve at that point is positive. Therefore, the point (5, 3) lies inside the solution curve.

Submit

8. The solutions of the differential equation  a. y(x) = 1 b. c.  d.   

Explanation

not-available-via-ai

Submit

9. I wouldn't _______ with a soldier who was wearing a metal _______, awarded for a display of _______. The words that best fill the blanks in the above sentence are:  

Explanation

not-available-via-ai

Submit

10. There are three basket of fruits. First basket has twice the number of fruits in the second basket. Third basket has 3/4 th of the fruits in the first. The average of the fruits in all the basket is 30. The number of fruits in the first basket is  

Explanation

Let's assume the number of fruits in the second basket is x. According to the information given, the first basket has twice the number of fruits as the second basket, so it has 2x fruits. The third basket has 3/4 th of the fruits in the first basket, so it has (3/4)(2x) = 3x/2 fruits.

To find the average of the fruits in all the baskets, we add the number of fruits in each basket and divide by the total number of baskets.

(x + 2x + 3x/2) / 3 = 30

Simplifying the equation, we get:

(6x + 4x + 3x) / 6 = 30
13x / 6 = 30
13x = 180
x ≈ 13.8

Since we can't have a fraction of a fruit, we round x to the nearest whole number, which is 14. Therefore, the number of fruits in the first basket is 2x = 2(14) = 28.

Thus, the correct answer is 40.

Submit

11. If XY + Z = X(Y + Z) which of the following must be true?

Explanation

If XY + Z = X(Y + Z), then it implies that either X = 1 or Z = 0. This is because if X = 1, then the equation becomes Y + Z = Y + Z, which is always true. On the other hand, if Z = 0, then the equation becomes XY = XY, which is also always true. Therefore, X = 1 OR Z = 0 must be true.

Submit

12. A paper sheet is in the shape of a right angle triangle and cut along a line parallel to hypotenuse leaving a smaller triangle. There was 25% reduction in the length of the hypotenuse of the triangle. If area of triangle initially was 28 cm2 then area of smaller triangle will be ______ cm2.

Explanation

When a paper sheet in the shape of a right angle triangle is cut along a line parallel to the hypotenuse, it forms two smaller triangles. Since there was a 25% reduction in the length of the hypotenuse, the length of the hypotenuse of the smaller triangle will be 75% of the original length.

The area of a triangle is given by the formula: (base * height) / 2. Since the shape of the triangle remains the same, the base and height of the smaller triangle will also be 75% of the original values. Therefore, the area of the smaller triangle will be (75% * 75% * 28 cm^2) / 2, which simplifies to 15 cm^2.

Submit

13. The following composition of a solid waste is given below: The difference in the energy content on ash-free dry bases and on a dry basis (in kJ/kg) is ______. (Consider moisture content of waste as 25% and ash content as 6%.)

Explanation

The energy content on an ash-free dry basis refers to the energy content of the waste after removing the moisture and ash. In this case, the moisture content is given as 25% and the ash content as 6%. Therefore, the energy content on an ash-free dry basis would be 100% - 25% - 6% = 69%.

The energy content on a dry basis refers to the energy content of the waste without considering the moisture content. In this case, the moisture content is given as 25%. Therefore, the energy content on a dry basis would be 100% - 25% = 75%.

The difference between the energy content on an ash-free dry basis and on a dry basis would be 75% - 69% = 6%.

To convert this difference into kJ/kg, we need to know the specific energy content of the waste. However, this information is not provided in the question. Therefore, the specific value of the difference in kJ/kg cannot be determined.

Submit

14. What is the number missing from the table?

Explanation

The numbers in the table are increasing by 3 each time. Starting with 45, adding 3 gives 48, which is the missing number.

Submit

15. His reactions to unpleasant situations tended to _________ everyone's nerves. The word that best fills the blank in the above sentence is 

Explanation

The word "aggravate" means to make a situation or problem worse or more serious. In the given sentence, the word "aggravate" fits perfectly as it suggests that his reactions to unpleasant situations tend to irritate or annoy everyone's nerves, making the situation even more unpleasant.

Submit

16. The positive value of A for which the equation f(x,y) = x2 + y+ Axy + 5x + 18, does not yields optimum values (i.e. no conclusion can be drawn on the nature of f(x,y) ) and required further investigation

Explanation

The correct answer is 2. In this equation, the coefficient of xy is A. If A is positive, the equation will have a saddle point, which means that the function does not have an optimum value. Therefore, further investigation is required to determine the nature of f(x, y).

Submit

17. What will be range of plasticity index for the fine grained soil below A - line having intermediate compressibility in the plasticity chart.

Explanation

The range of plasticity index for the fine grained soil below the A-line with intermediate compressibility in the plasticity chart is 10.95 ≤ Ip ≤ 21.9. This means that the plasticity index of the soil can range from 10.95 to 21.9. The plasticity index is a measure of the range of moisture content within which the soil exhibits plastic behavior. Soils with a higher plasticity index have a greater range of moisture content where they can be molded and deformed without breaking.

Submit

18. Following statements are made with regard to temporary adjustment of a theodolite: P. Levelling is done before centring of a theodolite. Q. centring is done before levelling of a theodolite. R. After centring and levelling, the eye piece is to be focused to make the cross hairs distinct and clear. S. After focusing the eye piece, the objective is to be focused to bring the image of the object in the plane of cross-hairs.

Explanation

The correct answer is P-False, Q-True, R-True, S-True. Levelling is done after centring of a theodolite, so statement P is false. Centring is done before levelling, so statement Q is true. After centring and levelling, the eye piece is focused to make the cross hairs distinct and clear, so statement R is true. After focusing the eye piece, the objective is focused to bring the image of the object in the plane of cross-hairs, so statement S is true.

Submit

19. Let A and B be two 3 m 3 matrices such that A ≠ B, A2 = B2, AB = BA and A2 + 2A + I = 0 where I is the identity matrix. Let |T| denote the determinant of any matrix T. Then  

Explanation

The given conditions imply that A and B are distinct matrices, A^2 = B^2, and A^2 + 2A + I = 0. From A^2 = B^2, we can deduce that A^2 - B^2 = 0, which can be factored as (A - B)(A + B) = 0. Since A and B are distinct, (A - B) cannot be zero, which means (A + B) must be zero. Therefore, |A + B| = 0. Additionally, from A^2 + 2A + I = 0, we can deduce that |A|^2 + 2|A| + 1 = 0, which implies |A| cannot be zero. Hence, the correct answer is |A| ≠ 0 and |A + B| = 0.

Submit

20. Consider the following Statement: P) Tie bars are installed in warping joints in cement concrete pavement. Q) Radius of the relative stiffness of cement concrete pavement depends on wheel loads. R) Base course is used in rigid pavements for prevention for pumping T) Dowels bars are provided at expansion joints and sometimes also at contraction joints in cement concrete pavement. For the above statement, the correct option is

Explanation

Statement P is false because tie bars are not installed in warping joints in cement concrete pavement. Statement Q is false because the radius of the relative stiffness of cement concrete pavement does not depend on wheel loads. Statement R is true because base course is used in rigid pavements to prevent pumping. Statement S is true because dowel bars are provided at expansion joints and sometimes also at contraction joints in cement concrete pavement. Therefore, the correct option is P → False, Q → False, R → True, S → True.

Submit

21. A 200 mm wide plate is to be jointed to a column flange as shown in the figure. If the ultimate strength for the weld metal is 400 MPa, the size of the weld (in mm, up to two decimal place) is _________. (It is given that moment of inertia about the perpendicular axis to the plane around C.G is 107 times the throat thickness of the weld)

Explanation

The size of the weld is 6mm because the moment of inertia about the perpendicular axis to the plane around the C.G is 107 times the throat thickness of the weld. Since the ultimate strength for the weld metal is 400 MPa, the size of the weld can be calculated using the formula: Size of weld = (Moment of inertia * Ultimate strength) / (Width of plate * Throat thickness). By substituting the given values, we get (107 * Throat thickness * 400) / (200 * Throat thickness) = 6mm.

Submit

22. The overtaking sight distance required on a highway is 250 m. The required clearance of obstruction (in meters, up to two decimal place) from centre line of a circular curve of radius 350 m and length 180 m is ________. (Assume two lane highway with d = 1.9 m.)

Explanation

The required clearance of obstruction from the center line of a circular curve is determined by the formula: Clearance = (Radius + d) * tan(A/2), where A is the angle of the curve. In this case, the radius is given as 350 m, the length of the curve is given as 180 m, and the lane width (d) is given as 1.9 m. Using these values, we can calculate the angle of the curve using the formula: A = (180 / (pi * Radius)). Plugging in the values, we find that A is approximately 0.091 degrees. Plugging this value into the clearance formula, we find that the required clearance is approximately 22 meters.

Submit

23. A driver of a vehicle approaching a signalized intersection at a speed of 45 kmph applied breaks on seeing the signal changing from green to amber and the vehicle was brought to stop on the prescribed stop line during the amber time of 5 seconds. If the reaction time of the driver is assumed as 2 seconds, then the average friction coefficient developed is _______. (up to 3 decimal place) (Assume, length of vehicle = 6 m and width of road = 7 m)

Explanation

The average friction coefficient developed can be calculated using the formula:

Friction coefficient = (Deceleration due to braking) / (Acceleration due to gravity)

To find the deceleration due to braking, we need to calculate the initial velocity of the vehicle when the driver applied the brakes. The distance covered during the reaction time can be calculated as:

Distance = Initial velocity * Reaction time

Given that the reaction time is 2 seconds and the speed of the vehicle is 45 kmph, we can convert the speed to m/s:

Initial velocity = 45 kmph * (1000 m/km) / (3600 s/h)

Now, we can calculate the distance covered during the reaction time:

Distance = (Initial velocity) * (Reaction time)

Next, we need to calculate the deceleration due to braking. The final velocity of the vehicle when it comes to a stop can be calculated as:

Final velocity = 0 m/s

Using the equation of motion:

Final velocity^2 = Initial velocity^2 + 2 * Acceleration * Distance

Since the final velocity is 0, we can rearrange the equation to solve for the deceleration:

Acceleration = - (Initial velocity^2) / (2 * Distance)

Now, we can substitute the values into the equation to find the deceleration:

Acceleration = - (Initial velocity^2) / (2 * Distance)

Finally, we can calculate the average friction coefficient using the formula mentioned earlier:

Friction coefficient = (Deceleration due to braking) / (Acceleration due to gravity)

After performing the calculations, we find that the average friction coefficient developed is 0.32 (up to 3 decimal places).

Submit

24. For a certain distributed data, the middle observation is 10 and mean observation is 8. The maximum occurring data is

Explanation

The maximum occurring data can be determined by looking at the given information. Since the middle observation is 10 and the mean observation is 8, it implies that there are more data points above the mean than below it. Therefore, the maximum occurring data must be greater than 10. Among the options given, the only value greater than 10 is 14, so it is the correct answer.

Submit

25. A rough pipe of 0.75 m diameter, 450 m length and average height of roughness 0.35 mm carries water with a velocity of 4.5 m/s. If the coefficient if friction for the pipe is given as: Where, r = radius of pipe k = average height of roughness g = 9.81 m/s2 ϑ = kinematic viscosity of water = 0.95 m 10-6 m2/s Then, the power required to maintain this flow will be ____kw.

Explanation

The power required to maintain the flow in the pipe can be calculated using the Darcy-Weisbach equation. This equation relates the head loss due to friction in the pipe to the flow rate and other parameters. By substituting the given values into the equation, the power required can be calculated. In this case, the power required is calculated to be 3700 kW.

Submit

26. Let A = (aij) be a 10 m 10 matrix such that aij = 1 for i ≠ j and aij = α + 1, where α > 0. Let λ and μ be the largest and the smallest eigenvalues of A, respectively. If λ + μ = 24, then α equals

Explanation

The matrix A is a 10x10 matrix with the condition that all elements on the diagonal (aii) are equal to α + 1, and all other elements (aij) are equal to 1. Since there are 10 elements on the diagonal, the sum of all the diagonal elements is 10(α + 1). The sum of all the elements in the matrix is 10(1) + 10(α + 1) = 10 + 10α + 10 = 10α + 20. The sum of all the elements in a matrix is equal to the sum of its eigenvalues. Therefore, we have the equation 10α + 20 = λ + μ = 24. Solving this equation gives α = 7.

Submit

27. A simply supported beam of length 6m is loaded with uniformly distributed load of 15 KN/m. The Beam is made of two materials which rests on one over ther such that ratio of modulus of Elasticity of top beam is twice of modulus of elasticity of bottom beam as shown in figure below. The difference between the maximum compressive stress in the bottom beam and top beam will be ________ MPa.

Explanation

The maximum compressive stress in a beam is given by the formula σ = M*c/I, where σ is the stress, M is the bending moment, c is the distance from the neutral axis to the outermost fiber, and I is the moment of inertia. In this case, since the beam is simply supported and loaded with a uniformly distributed load, the maximum bending moment occurs at the center of the beam and is equal to (wL^2)/8, where w is the load per unit length and L is the length of the beam. Since the beam is made of two materials with different moduli of elasticity, the distance c will be different for the top and bottom beams. However, since the ratio of the moduli of elasticity is given as 2:1, the distance c for the top beam will be half of the distance c for the bottom beam. Therefore, the maximum compressive stress in the bottom beam will be twice the maximum compressive stress in the top beam, resulting in a difference of 6 MPa.

Submit

28. A 12 long reinforced concrete pile of diameter 450 mm was driven by drop hammer having total mass of 24000 kg and having an effective fall of 0.9 cm. The average penetration for the last five blows was recorded as 0.6 cm per blow. If the total elastic compression is 2.3 cm, then the safe load on the pile will be _____ kN. Assume coefficient of restitution and factor of safety to be 0.30 and 2 respectively. Use Hiley's formula. Take γconcrete = 25 kN/m3. Efficiency of hammer (ηn) = 1.0.

Explanation

The safe load on the pile can be calculated using Hiley's formula, which is given by:

Safe load = (Total mass of hammer x effective fall x average penetration x coefficient of restitution x factor of safety) / (2 x total elastic compression)

Plugging in the given values, we get:

Safe load = (24000 kg x 0.9 cm x 0.6 cm x 0.30 x 2) / (2 x 2.3 cm)

Simplifying this equation gives us a safe load of 50 kN.

Submit

29. A three hinge parabolic arch is subjected to uniformly distributed load as shown in figure below If there is an increase in temperature by 10°C, then the final change in rise of crown will be? Take coefficient of thermal expansion = 10 m 10-6 per ° C.  

Explanation

When the temperature increases, the arch will expand due to the coefficient of thermal expansion. This expansion will cause the rise of the crown to increase. Since the coefficient of thermal expansion is given as 10 x 10^-6 per °C and the temperature has increased by 10°C, the final change in the rise of the crown will be 10 x 10^-6 x 10 = 1.5 mm increase.

Submit

30. In a specific energy curve, discharge is increased from Q1  to Q2, keeping specific energy constant. If YA and YB are alternate depth corresponding to initial discharge Q1. YC and YD, are alternate depth corresponding to discharge Q2. Considering YA as supercritical depth and YC is subcritical depth.  Which one of the following is true?

Explanation

not-available-via-ai

Submit

31. The coefficient of restitution between a snooker ball and side cushion is 0.4. If the ball hits the cushion and then rebounds at an angle of 90° to the original direction then angle made by the ball with side cushion before and after impact will respectively be    

Explanation

When a snooker ball hits a side cushion, it rebounds with a certain angle relative to the original direction of motion. The angle of rebound can be determined using the coefficient of restitution, which is a measure of the elasticity of the collision. In this case, the coefficient of restitution is given as 0.4.

To find the angle of rebound, we can use the equation:

angle of rebound = 90° - angle of incidence

The angle of incidence is the angle made by the ball with the side cushion before impact. Therefore, the angle of incidence can be calculated as:

angle of incidence = arctan(1/0.4)

Using a calculator, this gives us an angle of approximately 57.7°.

Since the ball rebounds at an angle of 90° to the original direction, the angle made by the ball with the side cushion after impact is:

angle after impact = 90° - angle of rebound

Substituting the value of angle of rebound, we get:

angle after impact = 90° - 57.7° = 32.3°

Therefore, the correct answer is 57.7° and 32.3°.

Submit

32. A prestressed beam of size 250 m 400 mm deep is prestressed by 14 tendons of 6 mm diameter. The cable is located at 150 mm from bottom of the beam. If the initial prestress in the beam is 1250 N/mm2. The loss of prestress due to elastic deformation and creep of concrete respectively will be? Assume: M-40 Grade concrete creep coefficient = 1.6 Modulus of elasticity = 2 m 105 mPa. Neglect the effect due to dead load.    

Explanation

The loss of prestress due to elastic deformation can be calculated using the formula:

Loss of prestress due to elastic deformation = (Initial prestress) x (Modulus of elasticity) x (Change in length) / (Length of the beam)

The change in length can be calculated using the formula:

Change in length = (Stress in tendons) / (Modulus of elasticity)

The stress in tendons can be calculated using the formula:

Stress in tendons = (Initial prestress) x (Area of tendons) / (Area of the beam)

Substituting the given values into the formulas, we can calculate the loss of prestress due to elastic deformation.

The loss of prestress due to creep of concrete can be calculated using the formula:

Loss of prestress due to creep of concrete = (Initial prestress) x (Creep coefficient)

Substituting the given values into the formula, we can calculate the loss of prestress due to creep of concrete.

Therefore, the correct answer is 37.13 mPa and 59.42 mPa.

Submit

33. As per Indian road congress, the suggested expression for the design of overlay thickness equivalent to granular material of WBM layer is Where, h0 = thickness of granular or WBM overlay in mm Dc = characteristic deflection. Da = allowable deflection The value of Da if the projected design traffic is 450 to 1500 is

Explanation

The correct answer is 1.25 mm because as per the Indian road congress, the suggested expression for the design of overlay thickness equivalent to granular material of WBM layer is h0 = (Dc/Da) * h0. The value of Da is given as 1.25 mm when the projected design traffic is 450 to 1500.

Submit

34. A flow fluid is represented as u = + 2xy, v = x2 + 2, w = x2 z. What will be the value of y-component of vorticity (in radians per unit time) at point (1, - 2, 0)

Explanation

The vorticity is a measure of the local rotation of a fluid. In this case, the vorticity is given by the curl of the velocity field. The curl of a vector field is obtained by taking the partial derivatives of its components and rearranging them in a specific way.

For the given velocity field, the y-component of the vorticity can be calculated as follows:
ωy = (∂w/∂x) - (∂u/∂z) = (2xz) - 0 = 2xz

At the point (1, -2, 0), substituting the values, we get:
ωy = 2(1)(0) = 0

Therefore, the y-component of the vorticity at the given point is 0.

Submit

35. The following observations were taken with a transit theodolite The reduced level of the staff station P will be ______ m

Explanation

The reduced level of the staff station P will be 293 m.

Submit

36. Until now only injectable vaccines against Swine Flu have been available. They have been primarily used by older adults who are at risk for complications from Swine Flu. A new vaccine administered in an oral form has proven effective in preventing Swine Flu in children. Since children are significantly more likely than adults to contract and spread Swine Flu, making the new vaccine widely available for children will greatly reduce the spread of Swine Flu across the population.           Which of the following, if true, most strengthens the argument? ​

Explanation

The given answer strengthens the argument because it suggests that the availability of an oral vaccine would increase the likelihood of parents vaccinating their children against Swine Flu. Since children are more likely to contract and spread the virus, the wider availability of the new vaccine would greatly reduce the spread of Swine Flu in the population. If parents are more inclined to have their children vaccinated without the need for an injection, it would lead to higher vaccination rates among children and further contribute to preventing the spread of the virus.

Submit

37. As per IS 456:2000, the diagonal tension failure in RCC beams depends upon:  

Explanation

The correct answer is Grade of concrete and percentage of longitudinal reinforcement provided. According to IS 456:2000, the diagonal tension failure in RCC beams is influenced by the grade of concrete and the percentage of longitudinal reinforcement provided. This means that the strength of the concrete and the amount of reinforcement play a crucial role in preventing diagonal tension failure in beams.

Submit

38. For the subsoil conditions shown below, determine the change in effective stress at 7 m below the ground level when the water level is permanently lowered for long term conditions _____ kN/m2. Use γW = 10 kN/m3

Explanation

not-available-via-ai

Submit

39. Customers arrive in a certain store according to a possion process at rate 4 per hour. Given that the store opens at 9.00 am what is the probability that exactly 1 customer has arrived by 9:30  

Explanation

The probability that exactly 1 customer has arrived by 9:30 can be calculated using the Poisson distribution. The rate of customer arrivals is given as 4 per hour. Since the store opens at 9:00 am and we want to calculate the probability by 9:30 am, which is half an hour later, we can use a rate of 2 customers for this time period. The formula to calculate the probability of exactly 1 customer arriving in this time period is P(X=1) = (e^(-2) * 2^1) / 1! = 2e-2. Therefore, the correct answer is 2e-2.

Submit

40. A tank full of water is shown in figure below, Assume width of tank to be 1.5m. Identify the correct statement made:  

Explanation

The question states that there is no Hydrostatic Paradox occurring in the tank. This means that the ratio of the weight of water in the tank to the pressure at the bottom of the tank is not more than 1. The absence of the Hydrostatic Paradox suggests that the pressure at the bottom of the tank is not higher than expected based on the weight of the water.

Submit

41. The static indeterminacy of the plane frame shown in figure below is?

Explanation

not-available-via-ai

Submit

42. The float that can be used by an activity without affecting successor activities is 

Explanation

Free float is the amount of time that an activity can be delayed without delaying the start of any succeeding activities. It represents the flexibility or slack time within a schedule. Total float, on the other hand, represents the total amount of time that an activity can be delayed without delaying the project completion date. Independent float refers to the amount of time that an activity can be delayed without delaying any other dependent activities. Interfering float is not a recognized term in project management. Therefore, the correct answer is Free Float.

Submit

43. A beam of triangular cross-section is shown in figure below, ratio of the shear stress at neutral axis to the maximum shear stress in the cross-section will be_____(up to two decimel places).

Explanation

The ratio of the shear stress at the neutral axis to the maximum shear stress in a beam of triangular cross-section is 0.88. This means that the shear stress at the neutral axis is 88% of the maximum shear stress in the cross-section.

Submit

44. A fixed beam of circular cross-section is subjected to a central point load W as shown in figure below. The plastic hinge length (in meters) will be ______.

Explanation

The plastic hinge length refers to the distance from the point of application of the load to the location where plastic deformation occurs in the beam. In this case, the beam is fixed at both ends and subjected to a central point load. The plastic hinge length is determined by the material properties of the beam and the magnitude of the load. Without any additional information or calculations provided, it is not possible to determine the exact value of the plastic hinge length. Therefore, the answer is "none".

Submit

45. A drinks machine offers three selections - Tea, Coffee or Random but the machine has been wired up wrongly so that each button does not give what it claims. If each drink costs 50p, how much minimum money do you have to put into the machine to work out which button gives which selection?

Explanation

To determine which button gives which selection, you need to try each button once. Since each drink costs 50p, you need to put in a minimum of 50p to try all three buttons. If you put in less than 50p, you will not be able to try all the selections. Therefore, the minimum amount of money you have to put into the machine is 50p.

Submit

46. ARCHIPELAGO : ISLAND

Explanation

A necklace is made up of multiple beads, just like an archipelago is made up of multiple islands. In both cases, the individual components come together to form a larger whole.

Submit

47. A solid circular shaft is subjected to Bending moment and Torsional moment of 100 kN-m and 50 kN-m respectively as shown in figure below. The maximum shear stress developed at point 'P' of the shaft will be _________ MPa.

Explanation

The maximum shear stress developed at point 'P' of the shaft can be determined using the formula for combined bending and torsion. The formula states that the maximum shear stress is equal to the square root of the sum of the squares of the bending stress and the torsional shear stress. In this case, the bending moment is 100 kN-m and the torsional moment is 50 kN-m. By plugging these values into the formula and calculating, we find that the maximum shear stress is 170 MPa.

Submit

48. A project is composed of eight activities, the time estimate for which are given below. If a 30-week deadline is imposed, what is the probability that the project will be finished within the time limit?       

Explanation

not-available-via-ai

Submit

49. A shaft of 350 mm diameter is subjected to the angle of twist of 1.8° in a length of 9 m, if the permissible shearing stress is not to exceed 50 MPa, the maximum torque that can be applied safely to the shaft is _____kN-m Take G = 90 GPa

Explanation

not-available-via-ai

Submit

50. Find the coefficient of x3 in the expansion of         about x = -1

Explanation

The coefficient of x^3 in the expansion of (x+1)^n about x = -1 can be found using the binomial theorem. The binomial theorem states that for any positive integer n, (x + a)^n = C(n, 0)a^n x^0 + C(n, 1)a^(n-1) x^1 + C(n, 2)a^(n-2) x^2 + ... + C(n, n-1)a x^(n-1) + C(n, n) x^n, where C(n, k) represents the binomial coefficient. In this case, a = -1, so the expansion becomes (x-1)^n. To find the coefficient of x^3, we need to find the value of C(n, 3).

Submit

51. It is given that: Modulus of elasticity of cement concrete = 210 m 103 kg/cm2 Poisson's ratio for concrete = 0.20 Modulus of subgrade reaction, K = 5 kg/m3 Radius of wheel load distribution = 15 cm. Slab thickness = 20 cm The distance from the apex of slab corner to section of maximum stress along the corner bisector is,  

Explanation

The distance from the apex of the slab corner to the section of maximum stress along the corner bisector can be determined using the formula:

Distance = (2 * K * (1 - v) * t * r) / E

where:
K = Modulus of subgrade reaction
v = Poisson's ratio
t = Slab thickness
r = Radius of wheel load distribution
E = Modulus of elasticity of cement concrete

Plugging in the given values, we get:

Distance = (2 * 5 * (1 - 0.20) * 20 * 15) / (210 * 10^3)

Simplifying the equation, we find:

Distance = 86 cm

Therefore, the correct answer is 86 cm.

Submit

52. The numerical value of the integral    

Explanation

The given integral is equal to 1 - cos 1. This can be derived using the integral of the cosine function, which is sin x. So, integrating cos 1 will give us sin 1. And since the integral constant is added, the final result is 1 - cos 1.

Submit

53. Consider the following Statement: P) Creep or creep length is the length of the path travelled by the percolating water. Q) The head loss per unit length of creep is constant throughout the percolating passage. R) There is no difference between horizontal and vertical creep. Which of the following is not an assumption of Bligh Creep theory?

Explanation

The given statement does not mention any assumptions of Bligh Creep theory. Therefore, it can be inferred that none of the options listed are assumptions of Bligh Creep theory.

Submit

54. He refraction correction required for taking a staff reading held at 3 km from the instrument is ______ cms.  

Explanation

The refraction correction required for taking a staff reading held at 3 km from the instrument is 10.08 cm. Refraction correction is necessary when light bends as it passes through different mediums, such as air. This bending of light can affect the accuracy of measurements, particularly when using optical instruments like a staff. In this case, the refraction correction is positive (+10.08 cm), indicating that the staff reading needs to be adjusted upwards by 10.08 cm to account for the bending of light.

Submit

55. By using Simpson's  rule find   by taking a width of 0.1

Explanation

not-available-via-ai

Submit

56. The different ionic concentration for a water sample is being shown below in a tabulated manner The total alkalinity and non-carbonate hardness (in mg/l as CaCO3) respectively will be  

Explanation

The total alkalinity is determined by the presence of carbonates, bicarbonates, and hydroxides in the water sample. Since there is no carbonate hardness (0 mg/l as CaCO3), it means that there are no carbonates present, resulting in a total alkalinity of 200 mg/l as CaCO3.

Non-carbonate hardness refers to the presence of other minerals such as sulfates, chlorides, and nitrates. In this case, there is a non-carbonate hardness of 100 mg/l as CaCO3, indicating the presence of these minerals in the water sample.

Therefore, the correct answer is 200 and 100.

Submit

57. A 30 m chain was found to be 15 cm too short after chaining a distance of 2000 m. It was found to be 30 cm too short at the end of the days work after chaining a distance of 4000 m. Find the true distance if the chain was corrected before the commencement of the day's work?

Explanation

The chain was found to be 15 cm too short after chaining a distance of 2000 m, and 30 cm too short after chaining a distance of 4000 m. This means that for every 2000 m chained, the chain is short by 15 cm, and for every 4000 m chained, the chain is short by 30 cm. Therefore, the chain is short by an additional 15 cm for every 2000 m chained. Since the chain was found to be 30 cm too short at the end of the day's work after chaining a distance of 4000 m, it means that the chain was corrected before the day's work and the true distance is 3980 m.

Submit

58. The infiltration capacity of a soil follows the Horton's exponential model, f = 13 + 29 e-(3/2)t where f is in mm/hr and t is the time in hour. The total depth of infiltration and average infiltration rate during the first 40 min of a storm respectively is  

Explanation

The infiltration capacity of a soil is given by the equation f = 13 + 29e^(-3/2t), where f is the infiltration rate in mm/hr and t is the time in hours. To find the total depth of infiltration and the average infiltration rate during the first 40 minutes of a storm, we need to substitute t = 40/60 = 2/3 into the equation.

Using the equation, we get f = 13 + 29e^(-3/2(2/3)) = 13 + 29e^(-1) ≈ 20.89 mm/hr.

To find the total depth of infiltration, we integrate the infiltration rate over the time period. The integral of f with respect to t from 0 to 40/60 is ∫(13 + 29e^(-3/2t))dt from 0 to 2/3, which evaluates to 31.33 mm.

Therefore, the correct answer is 20.89 mm and 31.33 mm/hr.

Submit

59. As per Indian Road Congress (IRC) the stripping value of aggregate should not exceed X% for the use in bituminous surface dressing, penetration macadam, bituminous macadam, and carpet construction when aggregate coated with bitumen is immersed in water bath at YoC for Z hours. The value of X, Y and Z will, respectively, be  

Explanation

The correct answer is 5, 40, and 24. According to the Indian Road Congress (IRC), the stripping value of aggregate should not exceed 5% for use in bituminous surface dressing, penetration macadam, bituminous macadam, and carpet construction. The aggregate coated with bitumen is immersed in a water bath at 40°C for 24 hours to test its resistance to stripping.

Submit

60. The laboratory test results of the soil sample are given below: Liquid limit = 37% Plastic limit = 22% % passing through 75 μ sieve = 26% % retained over 4.75 mm IS sieve = 65% % retained over 0.075 mm but passing through 4.75 mm = 26% As per IS 1498 – 1970, the soil is classified as:

Explanation

Based on the given laboratory test results, the soil sample can be classified as GC according to IS 1498 - 1970. The classification is determined by the liquid limit, plastic limit, and the percentage of fine particles passing through and retained on specific sieves. In this case, the liquid limit is 37%, which is less than 50% and the plastic limit is 22%, which is also less than 35%. Additionally, the percentage passing through the 75 μ sieve is 26%, which is less than 50%. All these values fall within the criteria for GC classification.

Submit

61. A 10 m wide rectangular channel has a bed slope of 3.33 m 10-3 and the Manning's coefficient 0.015. Water in the channel is flowing at a uniform depth of 3 m. At a particular section gradually varied flow (GVF) is observed and the flow depth is measured as 3.1 m. The GVF profile at that section is classified as  

Explanation

not-available-via-ai

Submit

62. A primary sedimentation tank (PST) is to treat water for 0.1 million population living in a town with Surface Overflow Rate (SOR) of 50000 Litre/m2/d. The diameter (in μm) of the spherical particle which will have 95 percent theoretical removal efficiency in this tank is _______________.  Assume the Stokes's Law is valid for the settling velocity of the particles in water. It is given that:  Density of water = 997 kg/m3;  The specific gravity of particle = 2.72 Dynamic viscosity of water= 9.97 x 10-4 m2/s

Explanation

not-available-via-ai

Submit

63. A chlorine dose of 0.8 mg/L is added to treat 12 MLD water and to get 0.4 mg/L of residual chlorine. The bleaching powder requirement per month if it contains 40% of chlorine (in tonnes, up to two decimal place) will be

Explanation

To find the bleaching powder requirement per month, we need to calculate the amount of chlorine required to achieve a residual chlorine concentration of 0.4 mg/L.

Given that the chlorine dose added is 0.8 mg/L and the water flow rate is 12 MLD (million liters per day), we can calculate the total chlorine added per day as follows:

Chlorine added per day = chlorine dose * water flow rate
= 0.8 mg/L * 12 MLD
= 9.6 kg/day

Since the bleaching powder contains 40% chlorine, we can calculate the amount of bleaching powder required per day as follows:

Bleaching powder required per day = chlorine added per day / chlorine content in bleaching powder
= 9.6 kg/day / 0.4
= 24 kg/day

Finally, to find the bleaching powder requirement per month, we multiply the daily requirement by the number of days in a month:

Bleaching powder requirement per month = bleaching powder required per day * number of days in a month
= 24 kg/day * 30 days
= 720 kg/month

Rounded to two decimal places, the bleaching powder requirement per month is 0.72 tonnes.

Submit

64. Four friends Rishabh, Keshav, Lavish and Hemang are out for shopping. Rishabh has less money than three times the amount that Keshav has. Lavish has more money than Keshav. Hemang has an amount equal to the difference of amounts with Keshav and Lavish. Rishabh has three times the money with Hemang. Each of them has to buy at least one shorts, or one sleeper, or one sleeveless t-shirt, or one goggle that is priced 200, 400, 600, and 1000 a piece, respectively. Lavish borrows 300 from Rishabh and buys a goggle. Keshav buys a Sleeveless t-shirt after borrowing 100 from Rishabh and is left with no money. Rishabh buys three shorts. What is the costliest item that Hemang could buy with his own money?

Explanation

not-available-via-ai

Submit

65. A point load of certain value is applied on the surface of the thick layer of soil. At a 3 m depth at a radial distance of 1.5 m from the point load, what will be the ratio of Boussinesq's influence factor to the westerguards influence factor.

Explanation

The ratio of Boussinesq's influence factor to Westergaard's influence factor can be calculated using the formulas for each factor. Boussinesq's influence factor is given by (1 + 0.4D/R), where D is the depth and R is the radial distance. Westergaard's influence factor is given by (1 + 0.3D/R). Plugging in the values of D = 3m and R = 1.5m into both formulas, we get Boussinesq's influence factor as 1.8 and Westergaard's influence factor as 1.125. Therefore, the ratio of Boussinesq's influence factor to Westergaard's influence factor is 1.8/1.125 = 1.6.

Submit
×
Saved
Thank you for your feedback!
View My Results
Cancel
  • All
    All (65)
  • Unanswered
    Unanswered ()
  • Answered
    Answered ()
Consider a simply supported beam as shown in figure below. A moment of...
The volume of raw sludge fed per day and the volume of digested sludge...
The technique utilized for the disposal of biomedical waste​, in...
A closed cylinder of diameter 250 mm and height 200 mm is completely...
What will be the moment of resistance of the rectangular cross-section...
A soil sample was consolidated under a cell pressure of 8 kg/cm2, pore...
The differential equation 4yy' - 12x = 0, satisfying condition y (1) =...
The solutions of the differential equation  ...
I wouldn't _______ with a soldier who was wearing a metal _______,...
There are three basket of fruits. First basket has twice the number of...
If XY + Z = X(Y + Z) which of the following must be true?
A paper sheet is in the shape of a right angle triangle and cut...
The following composition of a solid waste is given below: ...
What is the number missing from the table?
His reactions to unpleasant situations tended to...
The positive value of A for which the equation f(x,y) = x2 +...
What will be range of plasticity index for the fine grained soil below...
Following statements are made with regard to temporary adjustment of a...
Let A and B be two 3 m 3 matrices such that A ≠ B, A2 = B2, AB...
Consider the following Statement: ...
A 200 mm wide plate is to be jointed to a column flange as shown in...
The overtaking sight distance required on a highway is 250 m. The...
A driver of a vehicle approaching a signalized intersection at a speed...
For a certain distributed data, the middle observation is 10 and mean...
A rough pipe of 0.75 m diameter, 450 m length and average height of...
Let A = (aij) be a 10 m 10 matrix such that aij = 1 for i ≠ j...
A simply supported beam of length 6m is loaded with uniformly...
A 12 long reinforced concrete pile of diameter 450 mm was driven by...
A three hinge parabolic arch is subjected to uniformly distributed...
In a specific energy curve, discharge is increased from Q1  to...
The coefficient of restitution between a snooker ball and side cushion...
A prestressed beam of size 250 m 400 mm deep is prestressed by 14...
As per Indian road congress, the suggested expression for the design...
A flow fluid is represented as u = + 2xy, v = x2 + 2, w =...
The following observations were taken with a transit theodolite ...
Until now only injectable vaccines against Swine Flu have been...
As per IS 456:2000, the diagonal tension failure in RCC beams depends...
For the subsoil conditions shown below, determine the change in...
Customers arrive in a certain store according to a possion process at...
A tank full of water is shown in figure below, ...
The static indeterminacy of the plane frame shown in figure below is?
The float that can be used by an activity without affecting successor...
A beam of triangular cross-section is shown in figure below, ratio of...
A fixed beam of circular cross-section is subjected to a central point...
A drinks machine offers three selections - Tea, Coffee or Random but...
ARCHIPELAGO : ISLAND
A solid circular shaft is subjected to Bending moment and Torsional...
A project is composed of eight activities, the time estimate for which...
A shaft of 350 mm diameter is subjected to the angle of twist of...
Find the coefficient of x3 in the expansion of    ...
It is given that: ...
The numerical value of the integral    
Consider the following Statement: ...
He refraction correction required for taking a staff reading held at 3...
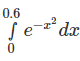
By using Simpson's  rule find   by taking a width...
The different ionic concentration for a water sample is being shown...
A 30 m chain was found to be 15 cm too short after chaining a distance...
The infiltration capacity of a soil follows the Horton's exponential...
As per Indian Road Congress (IRC) the stripping value of aggregate...
The laboratory test results of the soil sample are given below: ...
A 10 m wide rectangular channel has a bed slope of 3.33 m...
A primary sedimentation tank (PST) is to treat water for 0.1...
A chlorine dose of 0.8 mg/L is added to treat 12 MLD water and to get...
Four friends Rishabh, Keshav, Lavish and Hemang are out for shopping....
A point load of certain value is applied on the surface of the thick...
play-Mute sad happy unanswered_answer up-hover down-hover success oval cancel Check box square blue
Alert!