Verovatnoca I Statistika - Teorija

Reviewed by Editorial Team
The ProProfs editorial team is comprised of experienced subject matter experts. They've collectively created over 10,000 quizzes and lessons, serving over 100 million users. Our team includes in-house content moderators and subject matter experts, as well as a global network of rigorously trained contributors. All adhere to our comprehensive editorial guidelines, ensuring the delivery of high-quality content.
Learn about Our Editorial Process
| By Dzponia
D
Dzponia
Community Contributor
Quizzes Created: 3 | Total Attempts: 690
| Attempts: 621 | Questions: 200 | Updated: Jul 22, 2024
Please wait...
Question 1 / 201
🏆 Rank #--
Score 0/100

1. Oznaka Ω koristi se za oznacavanje:

Explanation

The symbol Ω is used to denote the sample space, which is the set of all possible outcomes or elementary events in a probability experiment. It represents the entire set of outcomes that could occur in a given situation. Therefore, the correct answer is "Skupa (prostora) elementarnih dogadjaja" which translates to "Set (space) of elementary events."

Submit
Please wait...
About This Quiz
Verovatnoca I Statistika - Teorija - Quiz

.

2.

What first name or nickname would you like us to use?

You may optionally provide this to label your report, leaderboard, or certificate.

2. Dogadjaji A, B i C su nezavisni i verovatnoce im iznose 1/2, 1/3 i 1/3. Koliko iznosi verovatnoca dogadjaja ABC?

Explanation

The probability of event A, B, and C occurring independently can be calculated by multiplying their individual probabilities. Thus, the probability of event ABC occurring is (1/2) * (1/3) * (1/3) = 1/18.

Submit

3. U izrazu sa slike, za nivo poverenja β obicno se uzima:

Explanation

The correct answer is 0.99, 0.95, 0.90. These values are commonly used for the confidence level β in statistical analysis. A confidence level represents the probability that a statistical result will be within a certain range. The values 0.99, 0.95, and 0.90 are often chosen as they provide a high level of confidence in the results while still allowing for some margin of error. Other values may be used depending on the specific requirements of the analysis, but these three values are widely accepted and commonly used.

Submit

4. Statisticke hipoteze se podvrgavaju:

Explanation

Statističke hipoteze se podvrgavaju proveravanju i testiranju. Proveravanje statističke hipoteze uključuje analizu podataka i statističkih metoda kako bi se utvrdilo da li rezultati podržavaju ili ne podržavaju hipotezu. Testiranje statističke hipoteze podrazumeva upotrebu određenih statističkih testova kako bi se izvršila kvantitativna procena verovatnoće da se dobijeni rezultati mogu objasniti slučajnošću ili da su stvarno posledica neke uzročno-posledične veze.

Submit

5. Prvi problemi iz teorije verovatnoce su vezani za:

Explanation

The first problems in the theory of probability were likely related to gambling. Gambling involves uncertain outcomes and the calculation of probabilities, making it a natural starting point for the development of probability theory.

Submit

6. Verovatnoca da prilikom bacanja 3 novcica dobijemo 3 puta glavu je:

Explanation

The probability of getting three heads when flipping three coins is 0.125. This can be calculated by multiplying the probability of getting a head on one coin flip (0.5) by itself three times, since each coin flip is an independent event. Therefore, 0.5 * 0.5 * 0.5 = 0.125.

Submit

7. Idealan test ima:

Explanation

An ideal test should have small errors of both the first and second order. This means that the test should have a low rate of false positives (first-order errors) and false negatives (second-order errors). In other words, it should accurately identify both the presence and absence of a condition being tested. This ensures that the test is reliable and provides accurate results.

Submit

8. Verovatnoca je preslikavanje:

Explanation

The correct answer is "Slucajnih dogadjaja u interval [0,1]". This is because probability is a mapping of random events to the interval [0,1]. The probability of an event can range from 0 (impossible event) to 1 (certain event). Therefore, the correct answer is the option that mentions random events in the interval [0,1].

Submit

9. Dogadjaji A i B su nezavnisni ako je:

Explanation

The given answer states that events A and B are independent if the conditional probability of A given B is equal to the probability of A, and the conditional probability of B given A is equal to the probability of B. This means that the occurrence of event B does not affect the probability of event A, and vice versa. In other words, the probabilities of events A and B are not dependent on each other.

Submit

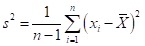
10. Skup ( 2, 2, 5, 7, 9, 9, 9, 10, 10, 13, 15 ) ima modus:

Explanation

The given set of numbers has a mode, which is the value that appears most frequently in the set. In this case, the number 9 appears three times, which is more than any other number in the set. Therefore, the mode of the given set is 9.

Submit

11. Prilikom testiranja hipoteza pojavljuju se greske, mogu da budu:

Explanation

During hypothesis testing, errors can occur. The first-order error, also known as a Type I error, refers to rejecting a true null hypothesis. The second-order error, or Type II error, occurs when a false null hypothesis is not rejected. These two types of errors are commonly encountered in hypothesis testing.

Submit

12. Ako je dogadjaj A da je sijalica proizvedena u prvoj fabrici, a dogadjaj B da je dobra, sta znaci dogadjaj ABc?

Explanation

The correct answer is "Sijalica je proizvedena u prvoj fabrici i nije dobra". This means that the event ABc represents the situation where the light bulb is produced in the first factory and is not good.

Submit

13. Aksiomatiku verovatnoce definisao je:

Explanation

The correct answer is Kolmogorov. Kolmogorov is known for his work in probability theory, where he defined the axioms of probability. His work laid the foundations for modern probability theory and provided a rigorous mathematical framework for studying uncertainty and randomness.

Submit

14. Skup svih ishoda dogadjaja " Bacanje 2 kocke " ima:

Explanation

The correct answer is 36 elements because when two dice are thrown, each dice has six possible outcomes (numbers 1 to 6). Therefore, the total number of outcomes when throwing two dice is 6 multiplied by 6, which equals 36.

Submit

15. Ako su P(A) i P(B) verovatnoce dva nezavisna dogadjaja A i B, onda verovatnoca da se nece realizovati oba dogadjaja:

Explanation

The given correct answer (1-P(A)) * (1-P(B)) represents the probability that both events A and B will not occur. This can be derived from the fact that the probability of an event not occurring is equal to 1 minus the probability of it occurring. Since A and B are independent events, the probability of both not occurring can be calculated by multiplying the probabilities of each event not occurring, which gives (1-P(A)) * (1-P(B)).

Submit

16. Za centriranu tackastu ocenu matematickog ocekivanja populacije uzima se:

Explanation

The correct answer is "Aritmeticka sredina uzorka" (Mean of the sample). When calculating the mathematical expectation of a population, the mean of the sample is used. The mean is calculated by summing all the values in the sample and dividing by the number of values. It represents the average value of the sample and is a commonly used measure of central tendency. Variance, dispersion, and standard deviation are measures of variability, not the mathematical expectation.

Submit

17. Testiranje hipoteze podrazumeva postavljanje:

Explanation

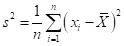
Testiranje hipoteze podrazumeva postavljanje dve hipoteze, nultu i alternativnu. Nulta hipoteza je obično tvrdnja koja se smatra tačnom ili trenutno prihvaćenom, dok je alternativna hipoteza tvrdnja koja se testira da bi se utvrdilo da li postoji dovoljno dokaza da se odbaci nulta hipoteza. Postavljanje obe hipoteze omogućava istraživačima da izvrše statističku analizu i donesu zaključke na osnovu prikupljenih podataka.

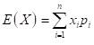
Submit

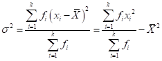
18. Skup svih ishoda nekog dogadjaja je:

Explanation

The correct answer is "Siguran dogadjaj, Verovatnoca mu je 1". A siguran dogadjaj refers to an event that is certain to occur. In this case, the skup svih ishoda (set of all outcomes) of some event is being described as a siguran dogadjaj with a probability of 1. This means that every outcome in the set is guaranteed to happen, and there is no possibility of any other outcome occurring.

Submit

19. Skup svih ishoda dogadjaja " Bacanje 3 novcica " ima:

Explanation

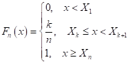
The correct answer is 8 elements because when you toss 3 coins, each coin can have 2 possible outcomes (heads or tails). Since there are 3 coins, the total number of possible outcomes is 2 * 2 * 2 = 8.

Submit

20. Uobicajeno je da se statistike - parametri uzorka obelezavaju:

Explanation

There is no specific rule for labeling the statistics parameters in terms of alphabets. The choice of using Greek, Latin, or Cyrillic letters to represent the parameters of a sample is arbitrary and depends on the preference of the researcher or the field of study. Therefore, there is no standard convention or rule that dictates the use of a particular alphabet for labeling statistics parameters.

Submit

21. Suprotan dogadjaj dogadjaju "Pojava 2 glave pri bacanju 2 dinara " je:

Explanation

The explanation for the given correct answer "Bar 1 pismo" is that the event "Pojava 2 glave pri bacanju 2 dinara" refers to the occurrence of getting 2 heads when tossing 2 coins. The phrase "Bar 1 pismo" means "at least 1 tails" in Serbian. So, the answer "Bar 1 pismo" implies that there is at least 1 tails when tossing the 2 coins, which is the opposite of the given event.

Submit

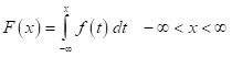
22. Ovaj izraz izracunava:

Explanation

This expression calculates the arithmetic mean of a sample.

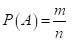
Submit

23. Ako se dogadjaji A i B iskljucuju (disjunktni su) i P(A) = 0.3, P(B) = 0.5 onda je P(A+B)?

Explanation

If events A and B are mutually exclusive (disjoint) and the probability of event A is 0.3 and the probability of event B is 0.5, then the probability of either event A or event B occurring (P(A+B)) is equal to the sum of their individual probabilities. Therefore, P(A+B) = P(A) + P(B) = 0.3 + 0.5 = 0.8.

Submit

24. Pouzdanost sistema:

Explanation

The correct answer is "je verovatnoca da sistem radi, zavisi od pouzdanosti svih komponenti". This answer states that the reliability of the system is the probability that the system functions properly and it depends on the reliability of all components. This means that if any component in the system is not reliable, it can affect the overall reliability of the system. Therefore, the reliability of the system is dependent on the reliability of all components working together.

Submit

25. Uobicajeno je da se parametri popluacije obelezavaju:

Explanation

The correct answer is "Nema pravila" which translates to "There are no rules" in English. This suggests that there is no standard or specific way to denote population parameters. It implies that population parameters can be represented using any type of letters or symbols, and there is no prescribed or universally accepted convention for it.

Submit

26. Ocena je najefikasnija ako ima:

Explanation

The correct answer is "Najmanju varijansu" (the smallest variance). Variance measures the spread or dispersion of data points around the mean. A smaller variance indicates that the data points are closer to the mean, which means there is less variability or deviation from the average. Therefore, having the smallest variance would make the evaluation more efficient as it implies a more consistent and reliable measurement.

Submit

27. Statisticka hipoteza moze da bude:

Explanation

The correct answer is that a statistical hypothesis can be both true and false. This is because a statistical hypothesis is a statement or assumption about a population parameter, and it can either be supported or rejected based on the evidence from a sample. In other words, a hypothesis can be initially assumed to be true, but further analysis may reveal that it is actually false. Therefore, a statistical hypothesis can have both a true and false value depending on the evidence and analysis conducted.

Submit

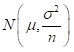
28. Verifikacija statisticke hipoteze je:

Explanation

The correct answer is "Testiranje" which translates to "Testing" in English. This suggests that the verification of a statistical hypothesis involves conducting tests to determine the validity or accuracy of the hypothesis.

Submit

29. Aksime teorije verovatnoce su:

Explanation

The correct answer is "Verovatnoca sigurnog dogadjaja jednaka je 1" and "Verovatnoca je broj u intervalu od 0 do 1". This is because in probability theory, the probability of a certain event occurring is always 1, as it is guaranteed to happen. Additionally, probabilities are always expressed as numbers between 0 and 1, where 0 represents an impossible event and 1 represents a certain event.

Submit

30. Suprotan dogadjaj dogadjaju A:

Explanation

The correct answer is "Se realizuje kada se dogadjaj A ne realizuje" and "Iznosi 1-P(A)". This means that the complementary event of event A occurs when event A does not occur. The probability of the complementary event is equal to 1 minus the probability of event A.

Submit

31. Skup svih povoljnih realizacija dogadjaja " Vadjenje 2 crvene kuglice iz kese u kojoj se nalaze 5 crvenih i 4 zelene kuglice " je:

Explanation

The question is asking for the number of favorable outcomes in the event of drawing 2 red balls from a bag containing 5 red balls and 4 green balls. To find the number of favorable outcomes, we need to calculate the number of ways to choose 2 red balls from the 5 available. This can be done using the combination formula, which is given by nCr = n! / (r!(n-r)!). In this case, n = 5 (number of red balls) and r = 2 (number of balls to be chosen). Plugging in the values, we get 5C2 = 5! / (2!(5-2)!) = 5! / (2!3!) = (5*4*3!) / (2!3!) = (5*4) / (2*1) = 10. Therefore, the answer is 10.

Submit

32. Siguran dogadjaj:

Explanation

The correct answer is "Ima verovatnocu 1" which means "It has a probability of 1". This implies that the event is certain to happen, meaning it is guaranteed to occur.

Submit

33. Ako se dogadjaji A, B i C medjusobno ne iskljucuju onda je verovatnoca zbira dogadjaja:

Explanation

The given answer is the formula for calculating the probability of the union of three events (A, B, and C) that do not mutually exclude each other. It states that the probability of the union of A, B, and C is equal to the sum of the individual probabilities of A, B, and C, minus the probabilities of the intersections between them (AB, AC, BC), and finally adding back the probability of the intersection of all three events (ABC). This formula accounts for the overlapping probabilities between the events, ensuring that they are not double-counted.

Submit

34. Ocena je najefikasnija ako ima:

Explanation

The correct answer is "Najmanju varijansu" (the smallest variance). Variance measures the spread or dispersion of data points around the mean. In the context of evaluation, a smaller variance indicates that the data points are closer to the mean, suggesting a more consistent and reliable evaluation. Therefore, having the smallest variance makes the evaluation more effective.

Submit

35. Sta je najpreciznije reci:

Explanation

The correct answer is "Prihvatamo hipotezu, Odbacujemo hipotezu." This answer is correct because it includes both possibilities - accepting the hypothesis and rejecting the hypothesis. The other options only mention one possibility, either accepting or rejecting the hypothesis, but not both.

Submit

36. Ako su P(A) i P(B) verovatnoce dva nezavisna dogadjaja A i B, onda je verovatnoca da se nece ralizovati dogadjaj A, hoce dogadjaj B:

Explanation

The given answer, (1-P(A)) * P(B), is the correct explanation. It represents the probability that event A will not occur (1-P(A)), multiplied by the probability that event B will occur (P(B)). This is based on the assumption that events A and B are independent of each other.

Submit

37. Kod funkcija raspodele:

Explanation

The given answer states that the domain of the function is the set of real numbers (R) and the codomain is the interval [0,1]. This means that the function can take any real number as input and will produce an output that lies within the interval [0,1]. The answer provides clear information about the range of possible inputs and outputs for the function.

Submit

38. Ovaj izraz omogucava izracunavanje:

Explanation

This expression allows for the calculation of the mode, specifically when the values are given in intervals.

Submit

39. Ovaj izraz omogucava izracunavanje:

Explanation

This expression allows for the calculation of medians when the values are given in intervals.

Submit

40. Ako je uslov sa slike ispunjen, onda je tackasta ocena:

Explanation

If the condition from the image is fulfilled, then the point grade is efficient.

Submit

41. Hipoteza H0 se naziva:

Explanation

The correct answer is "Nulta, Polazna." In hypothesis testing, the null hypothesis (H0) is a statement that assumes there is no significant difference or relationship between variables. It is often considered as the starting point or baseline assumption before conducting statistical analysis. Therefore, "Nulta" and "Polazna" are both appropriate terms to describe the null hypothesis.

Submit

42. Ako su P(A) i P(B) verovatnoce dva nezavisna dogadjaja A i B, onda je verovatnoca da ce se realizovati oba dogadjaja:

Explanation

The given correct answer, P(A) * P(B), is the formula for calculating the probability of two independent events A and B both occurring. This formula is derived from the multiplication rule of probability, which states that the probability of two independent events occurring together is equal to the product of their individual probabilities. Therefore, if P(A) and P(B) are the probabilities of events A and B occurring independently, then the probability of both events occurring is the product of these probabilities, P(A) * P(B).

Submit

43. Veza izmedju funkcija gustine i funkcije raspodele za neprekidnu slucajnu promenljivu je:

Explanation

The correct answer is "Izvod raspodele je gustina, Integral gustine je raspodela." This is because the derivative of the cumulative distribution function gives the probability density function, which is the derivative of the distribution function. Similarly, the integral of the probability density function gives the cumulative distribution function.

Submit

44. Funkcija raspodele za neprekidnu slucajnu promenljivu zadovoljava uslov da pripada intervalu:

Explanation

The given correct answer states that the distribution function for a continuous random variable belongs to the interval [0,1]. This means that the values of the distribution function can range from 0 to 1, inclusive. The distribution function represents the cumulative probability of the random variable taking on a value less than or equal to a given value. Since probabilities cannot be negative or greater than 1, the distribution function must be within the interval [0,1].

Submit

45. Normalna raspodela se zove i:

Explanation

The correct answer is "Gausova raspodela" because the question is asking for another name for the normal distribution. The normal distribution is also known as the Gaussian distribution, named after the mathematician Carl Friedrich Gauss.

Submit

46. Skup ( 1, 3, 4, 4, 5, 6, 8, 8, 10 ) :

Explanation

The given set of numbers (1, 3, 4, 4, 5, 6, 8, 8, 10) has two modes. A mode is the value that appears most frequently in a set of numbers. In this case, the numbers 4 and 8 both appear twice, which makes them the modes of the set. Therefore, the correct answer is "Ima dva modusa" which means "It has two modes" in English.

Submit

47. Ako je uslov sa slike ispunjen, onda je tackasta ocena:

Explanation

If the condition from the image is met, then the dot rating is efficient.

Submit

48. Resavanje problema pojave gresaka resava se:

Explanation

Increasing the sample size helps in solving the problem of error occurrence. By increasing the sample size, we can obtain a more representative and reliable estimate of the population parameters. With a larger sample, the variability and random errors are reduced, leading to more accurate and precise results. Therefore, increasing the sample size is a valid approach to minimize errors and improve the quality of the analysis.

Submit

49. Ako je dogadjaj A da je sijalica proizvedena u prvoj fabrici, a dogadjaj B da je dobra, sta znaci dogadjaj A+B?

Explanation

The event A represents the light bulb being produced in the first factory, and event B represents the light bulb being good. The event A+B means that either the light bulb was produced in the first factory or it is good.

Submit

50. Poasonova raspodela odnosi se na verovatnoce slucajnih promenljivih u:

Explanation

The correct answer is Jedinici vremena, Jedinici prostora. The Poisson distribution refers to the probabilities of random variables occurring in units of time or units of space. It is commonly used to model the number of events that occur within a fixed interval of time or space, such as the number of phone calls received in an hour or the number of cars passing through a particular intersection in a day. Therefore, the Poisson distribution is applicable to both units of time and units of space.

Submit

51. Da bi uzorak bio reprezentativan mora da:

Explanation

For a sample to be representative, it needs to be both brojan (countable) and have each element with the same probability. Being brojan means that the sample size should be large enough to accurately represent the population. If the sample size is too small, it may not provide an accurate representation. Additionally, each element in the sample should have the same probability of being selected to avoid any bias or skewed representation. This ensures that every element in the population has an equal chance of being included in the sample, leading to a more accurate representation of the population.

Submit

52. Ovaj izraz predstavlja obrazac za izracunavanje:

Explanation

This expression represents the calculation pattern for Harmonic mean. Harmonic mean is a type of average that is calculated by dividing the number of values by the sum of their reciprocals. It is used to determine an average rate or speed when the values being averaged are rates or speeds.

Submit

53. Ako trazimo interval poverenja za nepoznato matematicko ocekivanje, a nepoznata je disperzija populacije, onda koristimo:

Explanation

When we are looking for a confidence interval for an unknown population mean and the population variance is unknown, we use the Student's t-distribution. The t-distribution takes into account the uncertainty introduced by estimating the population variance from the sample data. It is used when the sample size is small or when the population standard deviation is unknown. The t-distribution is similar to the standard normal distribution, but with slightly wider tails.

Submit

54. Dogadjaj je slucajan ako:

Explanation

The correct answer is "Ne moze da se predvidi" which translates to "It cannot be predicted" in English. This answer suggests that a random event is one that cannot be foreseen or anticipated. It implies that there is no way to determine or predict the outcome or occurrence of the event beforehand.

Submit

55. Kod definisanja slucajne promenljive moramo znati:

Explanation

When defining a random variable, we need to know all the possible values it can take. This is because a random variable represents the outcomes of a random experiment, and knowing all the possible values helps us analyze and understand the behavior of the variable. By knowing all the values, we can calculate probabilities, determine the distribution, and make predictions based on the random variable.

Submit

56. Ako je slucajna promenljiva X ishod bacanja kocke, tada F(X) = P(X<4) je:

Explanation

The function F(X) = P(X

Submit

57. Ako je slucajna promenljiva X ishod bacanja kocke, tada je F(X) = P(X>9) je:

Explanation

The function F(X) represents the probability that the random variable X is greater than 9. However, since the outcome of throwing a dice can only range from 1 to 6, it is impossible for X to be greater than 9. Therefore, the probability of X being greater than 9 is 0.

Submit

58. Ovaj izraz je:

Explanation

The given correct answer, "Empirijska funkcija parametra raspodele" is in Croatian and translates to "Empirical distribution parameter function" in English. This suggests that the expression represents a function that relates to empirical data and the parameters of a distribution. It is likely used to estimate or model the distribution of a population based on observed data.

Submit

59. Ako slucajna promenljiva ima normalnu raspodelu, tada aritmeticka sredina:

Explanation

If a random variable has a normal distribution, it means that the values it can take on are distributed according to a bell-shaped curve. The arithmetic mean, also known as the average, is a measure of central tendency that is commonly used to describe the center of a normal distribution. Therefore, if a random variable has a normal distribution, it is expected to have a normal arithmetic mean.

Submit

60. Uzorak se definise pod sledecim uslovima:

Explanation

The given answer states that each element has an equal chance of being included in the sample. This means that the sample is not biased towards any particular element or group of elements. It follows the principle of random sampling, where every element in the population has an equal probability of being selected for the sample. This ensures that the sample represents the population accurately and reduces the potential for sampling errors or biases.

Submit

61. Tackasta ocena matematickog ocekivanja je:

Explanation

The correct answer is "Aritmeticka sredina" (Arithmetic mean). The arithmetic mean is a measure of central tendency that is calculated by summing up all the values in a dataset and dividing it by the number of values. It represents the average value of the dataset and is commonly used in statistics to analyze and compare data.

Submit

62. Interval poverenja je:

Explanation

An interval poverenja (confidence interval) is a range of values within which the true value of a parameter is likely to fall with a high degree of confidence. It is not guaranteed to contain the exact true value, but it is expected to include it with a high probability. Therefore, the correct answer is "Interval kod koji sa velikom verovatnocom sadrzi tacnu vrednost parametra" which means "Interval that with a high probability contains the true value of the parameter."

Submit

63. Za testiranje neparametarskih hipoteza koristi se:

Explanation

The correct answer is Xi-kvadrat test. The Xi-kvadrat test is used for testing nonparametric hypotheses. It is a statistical test that determines whether there is a significant difference between the observed and expected frequencies in a categorical data set. This test is commonly used for analyzing data that is not normally distributed or when the sample size is small.

Submit

64. Suprotan dogadjaj dogadjaju " Ne vise od 2 pogotka u 5 gadjanja " je

Explanation

The correct answer is "Vise od 2 pogotka" (More than 2 hits). This means that the event "Ne vise od 2 pogotka u 5 gadjanja" (Not more than 2 hits in 5 shots) is referring to the outcome of getting more than 2 hits. Therefore, the correct answer is the one that represents this outcome.

Submit

65. Verovatnoca proizvoda nezavisnih dogadjaja A i B je:

Explanation

The correct answer is P(AB) = P(A) * P(B). This is because the probability of the independent events A and B occurring together is equal to the probability of event A occurring multiplied by the probability of event B occurring. This formula is derived from the definition of independence, where the occurrence of one event does not affect the probability of the other event happening. Therefore, the probability of the product of two independent events is the product of their individual probabilities.

Submit

66. Bernulijevi eksperimenti su niz eksperimenata koji:

Explanation

Bernoulli's experiments are a series of experiments that have two possible outcomes.

Submit

67. Binomna raspodela se moze aproksimirati Poasonovom raspodelom ako je:

Explanation

The correct answer is np

Submit

68. Disperzija kod Poasonove raspodele iznosi:

Explanation

The correct answer is λ. In the context of Poisson distribution, λ represents the average rate at which an event occurs. It is calculated by multiplying the number of trials (n) by the probability of success (p). In this case, the question is asking for the dispersion, which is another term for variance. The variance of a Poisson distribution is equal to λ. Therefore, the correct answer is λ.

Submit

69. Skup ( 2, 5, 7, 9, 10, 13, 15 ) ima modus:

Explanation

The given set of numbers does not have a mode. A mode is the value that appears most frequently in a set of data. In this case, none of the numbers appear more than once, so there is no value that can be considered the mode. Therefore, the correct answer is "Nema", which means "None" in Croatian.

Submit

70. Koeficijent varijacije se koristi kada:

Explanation

The coefficient of variation is used when the units of measurement are the same, but the arithmetic means are different. This means that the coefficient of variation is a measure of relative variability, allowing for comparison between datasets with different means. It is calculated by dividing the standard deviation by the mean and multiplying by 100 to express it as a percentage.

Submit

71. Najcesce koriscena tackasta ocena matematickog ocekivanja je:

Explanation

The correct answer is "Aritmeticka sredina" (Arithmetic mean). The arithmetic mean is the most commonly used measure of central tendency in statistics. It is calculated by summing all the values in a dataset and dividing by the number of values. It provides a measure of the average value of a set of numbers and is often used to summarize data or compare different groups.

Submit

72. Verovatnoca je nauka koja izucava:

Explanation

The correct answer is "Slucajne pojave" which translates to "Random events" in English. This explanation suggests that probability is the science that studies random events, which are events that cannot be predicted with certainty. It implies that probability deals with situations where the outcome is uncertain and involves calculating the likelihood of different outcomes occurring.

Submit

73. Ako je zadovoljena veza 

Explanation

The correct answer is "Dogadjaji A cine potpuni sistem". This means that the events A form a complete system, indicating that there are no other events outside of A that need to be considered. Additionally, the answer states that "Unija dogadjaja A je skup svih elementarnih dogadjaja", meaning that the union of events A is the set of all elementary events. This implies that all possible outcomes are included in the events A.

Submit

74. Funkcija gustine za neprekidnu slucajnu promenljivu zadovoljava uslov da je :

Explanation

The given answer "1" suggests that the density function for a continuous random variable satisfies the condition of being equal to 1. In other words, the probability density function is normalized such that the total area under the curve is equal to 1. This ensures that the probabilities assigned to all possible outcomes of the random variable add up to 1, as required by the principles of probability theory.

Submit

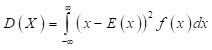
75. Kod varijansa je:

Explanation

The correct answer is D(X) = E(X-E(X))^2. This is the formula for calculating the variance of a random variable X. It involves taking the expected value of the difference between X and its expected value, and then squaring that difference. This formula is commonly used to measure the spread or dispersion of a set of data points around their mean.

Submit

76. Ovaj izraz predstavlja verovatnocu slucajne promenljive koja ima:

Explanation

This expression represents the probability of a random variable that follows a Poisson distribution. The Poisson distribution is commonly used to model the number of events occurring in a fixed interval of time or space, given that these events occur with a constant rate and are independent of the time since the last event.

Submit

77. U izrazu sa slike, velicina β se zove:

Explanation

The correct answer is "Nivo poverenja" because the term β refers to the level of confidence or trust in a certain situation or relationship. It represents the degree to which one believes in the reliability, honesty, and credibility of someone or something. Therefore, "Nivo poverenja" accurately describes the concept being referred to in the given expression.

Submit

78. Broj α nazivamo:

Explanation

The correct answer is "Prag znacajnosti testa". This term refers to the predetermined level of significance that is used to determine whether the results of a statistical test are considered statistically significant or not. It helps researchers make decisions about whether to reject or fail to reject the null hypothesis based on the observed data.

Submit

79. Hipoteza H1 se naziva:

Explanation

The correct answer is "Suprotna, Alternativna". The term "H1" refers to the alternative hypothesis in statistical hypothesis testing. The alternative hypothesis is the statement that contradicts or opposes the null hypothesis (H0). In this context, "suprotna" means opposite, and "alternativna" means alternative, both of which accurately describe the nature of the H1 hypothesis.

Submit

80. Hipoteza H1 je:

Explanation

The correct answer is "Suprotna polaznoj - nultoj." This answer suggests that H1 is the opposite of the null hypothesis, meaning that it contradicts or challenges the initial assumption. The null hypothesis assumes no relationship or difference between variables, while the alternative hypothesis (H1) proposes that there is a relationship or difference. Therefore, H1 is the hypothesis that the researcher aims to prove through the study.

Submit

81. Ako se dogadjaji A i B iskljucuju (disjunktni su) i P(A) = 0.3, P(B) = 0.5 onda je P(AB)?

Explanation

If events A and B are mutually exclusive (disjoint) and P(A) = 0.3, P(B) = 0.5, then the probability of both events occurring (P(AB)) would be 0. Since mutually exclusive events cannot occur at the same time, the probability of both events happening simultaneously is zero.

Submit

82. Disperzija kod binomne raspodele iznosi:

Explanation

The given question is asking for the dispersion in a binomial distribution. The dispersion of a binomial distribution is equal to the product of the number of trials (n), the probability of success (p), and the probability of failure (q), which is represented as npq.

Submit

83. Harmonijska sredina se koristi kada su:

Explanation

The correct answer is "Vrednosti i obim obelezje u obrnutoj srazmeri" which translates to "Values and magnitude are in inverse proportion." This means that as the values of the characteristic increase, the magnitude of the characteristic decreases, and vice versa. In other words, there is a negative correlation between the values and the magnitude of the characteristic.

Submit

84. Intervali za ocenu parametara se zovu:

Explanation

The correct answer is "Intervali poverenja" and "Intervali pouzdanosti". These terms refer to the same concept in statistics, which is the range of values within which a parameter is estimated to lie with a certain level of confidence. They are used to quantify the uncertainty associated with estimating a population parameter based on a sample. "Intervali poverenja" and "Intervali pouzdanosti" both translate to "confidence intervals" in English.

Submit

85. Ako je P( 2 <= x <= 9 ) i N(0,1) onda je:

Explanation

The given question is incomplete and not readable, so it is not possible to generate an explanation for the correct answer.

Submit

86. Ovaj izraz predstavlja obrazac za izracunavanje:

Explanation

The given expression represents the calculation pattern for the geometric mean. The geometric mean is a type of average that is calculated by taking the nth root of the product of n numbers. It is commonly used in various mathematical and statistical calculations, especially when dealing with exponential growth or rates.

Submit

87. Disperzija je mera odstupanja i predstavlja

Explanation

The correct answer is "Prosecno kvadratno odstupanje svakog podatka od aritmeticke sredine." This is because dispersion is a measure of how spread out the data is from the mean. Taking the average of the squared differences between each data point and the mean gives us the average squared deviation, which is a common way to measure dispersion.

Submit

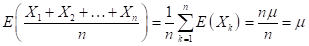
88. Ovaj izraz izracunava:

Explanation

This expression calculates the mathematical expectation for the arithmetic mean.

Submit

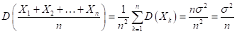
89. Ovaj izraz izracunava:

Explanation

The correct answer is "Varijansu za aritmeticku sredinu" and "Disperziju za aritmeticku sredinu". This means that the given expression calculates both the variance and the dispersion for the arithmetic mean. Variance measures how spread out the data points are around the mean, while dispersion quantifies the amount of variability or spread in the data. Therefore, the expression is calculating these statistical measures specifically for the arithmetic mean.

Submit

90. Kod testiranja hipoteze sa slike, a disperzija je poznata, koristimo:

Explanation

The correct answer is Gausovu raspodelu, Normalnu raspodelu. Both terms refer to the same distribution, which is the Gaussian or normal distribution. This distribution is commonly used in hypothesis testing when the variance is known. It is characterized by a bell-shaped curve and is used to model continuous random variables. The use of the term "Gausovu raspodelu" suggests that the question may be in a different language, but it is referring to the same concept as the "Normalnu raspodelu" in English.

Submit

91. Kada kazemo da je verovatnoca 95%, kod testiranja hipoteza, to znaci da postoji:

Explanation

When we say that the probability is 95% in hypothesis testing, it means that there is a 5% risk of rejecting the null hypothesis and a 95% risk of accepting the null hypothesis.

Submit

92. Ovaj izraz predstavlja:

Explanation

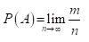
This expression represents the statistical definition of probability.

Submit

93. Nemoguc dogadjaj:

Explanation

This answer suggests that a "nemoguc dogadjaj" (impossible event) has a probability of 0. This means that the event cannot occur under any circumstances, making it completely unlikely or impossible to happen.

Submit

94. Ako su P(A) i P(B) verovatnoce dva nezavisna dogadjaja A i B, onda je verovatnoca da ce se realizovati bar jedan dogadjaj:

Explanation

The given answer, 1-(1-P(A)) * (1-P(B)), is the correct formula to calculate the probability of at least one of the events A or B occurring. It is derived from the probability theory rule for the complement of an event. The complement of the event "neither A nor B occurs" is "at least one of A or B occurs." By subtracting the probability of the complement from 1, we get the probability of at least one of the events occurring.

Submit

95. Funkcija raspodele:

Explanation

The given answer "Neprekidna s desna" means "continuous from the right" in English. This term is used to describe a function that is continuous on its right side but may have a jump or discontinuity at a specific point. In other words, the function approaches its limit as it approaches the point from the right side. This type of function is characterized by having a defined value at the point of discontinuity from the left side but not from the right side.

Submit

96. Ako slucajna promenljiva X uzima vrednosti a,b,...,n, onda je funkcija raspodele:

Explanation

The given answer states that the cumulative distribution function (CDF) is 0 for values less than a and 1 for values greater than or equal to n. This means that the probability of X being less than a is 0, and the probability of X being greater than or equal to n is 1. This aligns with the definition of a CDF, where it represents the probability that a random variable takes on a value less than or equal to a given value.

Submit

97. Matematicko ocekivanje kod Poasonove raspodele iznosi:

Explanation

The correct answer is λ because the expected value (mathematical expectation) of a Poisson distribution is denoted by λ. It represents the average number of events that occur in a given time period or space, and it is calculated as the product of the average rate of occurrence (n) and the length of the time period or space (p*q).

Submit

98. Varijansa je mera odstupanja i predstavlja:

Explanation

The correct answer is "Prosecno kvadratno odstupanje svakog podatka od aritmeticke sredine" because variance measures the average squared deviation of each data point from the mean. It takes into account the magnitude of the deviations by squaring them, and then calculates the average of these squared deviations. This provides a measure of how spread out the data points are from the mean, giving us an understanding of the variability or dispersion in the data set.

Submit

99. Kod testiranja hipoteze sa slike, a disperzija je nepoznata, koristimo:

Explanation

When testing a hypothesis with an unknown variance, we use the Student's t-distribution. The t-distribution is used when the sample size is small and the population standard deviation is unknown. It is similar to the normal distribution but has heavier tails, allowing for more variability in the data. The t-distribution is commonly used in hypothesis testing to calculate confidence intervals and determine whether the sample mean is significantly different from the hypothesized population mean.

Submit

100. Klasicna definicija verovatnoce odnosi se na eksperimente:

Explanation

The correct answer is "Ciji je skup dogadjaja konacan, Ciji ishodi imaju jednake verovatnoce." This is because the classical definition of probability applies to experiments with a finite set of events, where each event has an equal probability of occurring.

Submit

101. U uslovnoj verovatnoci P(A/B):

Explanation

This answer states that event A occurs under the condition of event B.

Submit

102. Verovatnoca proizvoda zavisnih dogadjaja A, B i C je:

Explanation

The given answer, P(ABC) = P(A) * P(B/A) * P(C/AB), is the correct explanation for the probability of the product of dependent events A, B, and C. This formula follows the principle of conditional probability, where the probability of event A occurring is multiplied by the probability of event B occurring given that event A has occurred (P(B/A)), and then further multiplied by the probability of event C occurring given that both events A and B have occurred (P(C/AB)). This formula accounts for the dependence between the events and calculates the probability of all three events occurring together.

Submit

103. Funkcija raspodele:

Explanation

The given answer states that the function is both bounded and non-decreasing. A bounded function means that there exist finite upper and lower bounds for the function's values. A non-decreasing function implies that the function's values do not decrease as the input increases. Therefore, the function is limited in its range and the values of the function increase or remain constant as the input increases.

Submit

104. Osobine matematickog ocekivanja su:

Explanation

The correct answer states that the properties of mathematical expectation are that E(X+Y) = E(X) + E(Y) and E(XY) = E(X) * E(Y), but only if X and Y are independent. This means that if X and Y are not independent, these properties may not hold true.

Submit

105. Ako se vrsi aproksimacija binomne raspodele normalnom, slucajna promenljiva je oblika:

Explanation

When approximating a binomial distribution to a normal distribution, the shape of the random variable is represented by a bell curve. This is because as the sample size increases, the binomial distribution becomes more symmetric and approaches a normal distribution. Therefore, the correct answer is c) a bell curve.

Submit

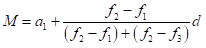
106. Medijana je:

Explanation

The correct answer is the average value of all the values of the feature x1, x2, ..., xn arranged in order. This means that you take all the values, sort them in ascending or descending order, and then calculate the average of those values. This is known as the median. It is different from the mode, which is the value that appears most frequently, and the mean, which is the sum of all the values divided by the number of values. The median is useful in situations where there are outliers or extreme values that can skew the mean.

Submit

107. Ovaj izraz izracunava:

Explanation

The correct answer is "Varijansu za aritmeticku sredinu" and "Disperziju za aritmeticku sredinu". This means that the given expression calculates both the variance and the dispersion for the arithmetic mean. Variance measures how spread out the data points are from the mean, while dispersion is a measure of the variability or spread of the data. Both of these calculations help to understand the distribution and variability of the data around the arithmetic mean.

Submit

108. Zakljucak testa moze da bude:

Explanation

The correct answer is "Odbacujemo nultu hipotezu i prihvatamo alternativnu." This means that the null hypothesis is rejected and the alternative hypothesis is accepted. It suggests that there is enough evidence to support the alternative hypothesis and reject the null hypothesis. The second part of the answer, "Ne odbacujemo nultu hipotezu i ne prihvatamo alternativnu," contradicts the first part and is therefore incorrect.

Submit

109. Hipoteza H0 je:

Explanation

The correct answer is "Pretpostavka koja se testira." In hypothesis testing, the null hypothesis (H0) is the assumption that is being tested. It is the statement that there is no significant difference or relationship between variables. The alternative hypothesis (H1) is the opposite of the null hypothesis and is what the researcher is trying to find evidence for. Therefore, the null hypothesis is the assumption that is being tested and is subject to acceptance or rejection based on the available evidence.

Submit

110. Ako se novcic baca 200 puta i zelimo da odredimo verovatnocu da ce se pismo pojaviti manje od 112 puta, u pitanju je:

Explanation

The question states that a coin is tossed 200 times and we want to determine the probability of getting fewer than 112 heads. This scenario can be modeled using the binomial distribution. The binomial distribution is used to calculate the probability of getting a certain number of successes (in this case, heads) in a fixed number of independent trials (coin tosses), where each trial has the same probability of success (landing on heads). Therefore, the correct answer is the binomial distribution.

Submit

111. Ako se vrsi aproksimacija binomne raspodele normalnom, koristimo vezu:

Explanation

When approximating a binomial distribution with a normal distribution, we use the formula given in option b.

Submit

112. Bacamo kocku i novcic. Dogadjaji da padne pismo i da padne broj 5 su:

Explanation

The events "padne pismo" (coin lands on heads) and "padne broj 5" (dice lands on the number 5) are disjunct events because they cannot occur at the same time. If the coin lands on heads, it means the dice did not land on the number 5, and vice versa. Therefore, the correct answer is "Disjunktni."

Submit

113. Za funkciju raspodele neprekidne slucajne promenljive vazi:

Explanation

The correct answer is P(a

Submit

114. Matematicko ocekivanje se jos naziva:

Explanation

The correct answer is "Srednja vrednost, Ocekivana vrednost." In statistics, the term "matematicko ocekivanje" is commonly referred to as the "expected value" or "mean." It represents the average value of a random variable, and it is calculated by summing the product of each possible value of the variable and its corresponding probability. Therefore, both "Srednja vrednost" and "Ocekivana vrednost" accurately describe the concept of the expected value in mathematics.

Submit

115. Ako je A aritmeticka, G geometrijska i H harmonijska sredina onda vazi relacija:

Explanation

The correct answer states that the relationship between the harmonic mean (H), geometric mean (G), and arithmetic mean (A) is H

Submit

116. Poligon raspodele se dobija kada se:

Explanation

The correct answer is that on the x-axis, values of the feature are plotted, while on the y-axis, values of the frequency are plotted. This means that the polygon of distribution is obtained by plotting the feature values against their corresponding frequencies.

Submit

117. Ako trazimo interval poverenja za nepoznato matematicko ocekivanje, a poznata je disperzija populacije, onda koristimo:

Explanation

When we are looking for a confidence interval for an unknown population mean and the population variance is known, we use the Normal distribution. The Normal distribution is also known as the Gaussian distribution. Therefore, the correct answer is Gausovu raspodelu, Normalnu raspodelu.

Submit

118. Bacamo kocku. Dogadjaji da padne paran broj ili da padne broj 4 su:

Explanation

The events of rolling an even number and rolling a 4 are independent because the outcome of rolling an even number does not affect the outcome of rolling a 4, and vice versa. The probability of rolling an even number is 1/2, and the probability of rolling a 4 is 1/6. These probabilities do not change regardless of the outcome of the other event. Therefore, the events are independent.

Submit

119. Funkcija raspodele je:

Explanation

The correct answer is F(X) = P{X=

Submit

120. Pouzdanost sistema koji se sastoji od dve redno povezane komponente je:

Explanation

The reliability of a system consisting of two components connected in series is given by the product of the reliabilities of the individual components. This means that the overall reliability of the system is equal to the probability of both components functioning properly.

Submit

121. Ako je ___ i N(0,1) onda je:

Explanation

not-available-via-ai

Submit

122. Osobine matematickog ocekivanja su:

Explanation

The given answer states that the property of mathematical expectation is that D(X+a) is equal to D(X), which means that adding a constant value to a random variable does not change its expectation.

Submit

123. Slucajan eksperiment mora da:

Explanation

A slucajan eksperiment is a random experiment. The answer states that it can be repeated an arbitrary number of times under the same conditions, indicating that the experiment can be replicated. Additionally, it states that all of its outcomes are predetermined, meaning that the possible results of the experiment are known in advance. Therefore, the answer suggests that a slucajan eksperiment is both repeatable and has predetermined outcomes.

Submit

124. Ako je P( -2 <= x <= 9 ) i N(0,1) onda je:

Explanation

The given answer "a)" indicates that the statement "Ako je P( -2

Submit

125. U ovom izrazu, X nadvuceno predstavlja:

Explanation

In this expression, the symbol X with a bar on top represents the arithmetic mean. The arithmetic mean is calculated by summing up all the values and dividing by the total number of values. It is a measure of central tendency and represents the average value of a set of numbers.

Submit

126. Tackasta ocena parametra je:

Explanation

The correct answer is "Losija od intervalnih" which translates to "Worse than interval ones" in English. This suggests that the parameter being evaluated is not as good as the interval parameters.

Submit

127. Izraz sa slike predstavlja:

Explanation

The expression in the image represents centered estimates of variance and dispersion.

Submit

128. Matematicko ocekivanje kod binomne raspodele iznosi:

Explanation

The correct answer is np. The expected value or mean of a binomial distribution is calculated by multiplying the number of trials (n) by the probability of success (p). In this case, the expected value is equal to n times p.

Submit

129. Ako slucajna promenljiva ima normalnu raspodelu N(μ, σ^2), onda izraz sa slike predstavlja raspodelu:

Explanation

The given expression represents the distribution of the sample means. In a normal distribution with mean μ and variance σ^2, the distribution of sample means will also follow a normal distribution with the same mean μ but with a smaller variance, equal to σ^2 divided by the sample size. This is known as the Central Limit Theorem, which states that as the sample size increases, the distribution of sample means approaches a normal distribution. Therefore, the correct answer is "Aritmeticke sredine uzorka" which translates to "Sample means".

Submit

130. Kod diskretne slucajne promenljive, funkcija raspodele se zove:

Explanation

The correct answer is "Kumulativna funkcija". In probability theory, the cumulative distribution function (CDF) is a function that gives the probability that a random variable is less than or equal to a certain value. It is also known as the cumulative probability function or the distribution function. The term "Zbirna funkcija" is not a commonly used term in probability theory and does not accurately describe the concept of the cumulative distribution function. Therefore, it is not the correct answer.

Submit

131. Dve najvaznije diskretne raspodele su:

Explanation

The given answer states that the two most important discrete distributions are the binomial distribution and the Poisson distribution. The binomial distribution is used to model the number of successes in a fixed number of independent Bernoulli trials, while the Poisson distribution is used to model the number of events occurring in a fixed interval of time or space. Both distributions are widely used in various fields such as statistics, probability theory, and data analysis.

Submit

132. Izraz predstavlja: 

Explanation

The given correct answer states that the expression represents the cumulative distribution function (CDF) of a continuous random variable.

Submit

133. Ako je u pitanju binomna raspodela i np > 10, aproksimacija se vrsi:

Explanation

If the binomial distribution is being used and np > 10, the approximation is made using the normal distribution. This is because when np > 10, the binomial distribution becomes approximately normal. Therefore, it is appropriate to use the normal distribution as an approximation in this case.

Submit

134. Ovaj izraz izracunava:

Explanation

The correct answer is "Matematicko ocekivanje za aritmeticku sredinu" which translates to "Expected value for the arithmetic mean." This means that the given expression calculates the expected value for the arithmetic mean.

Submit

135. Interval poverenja

Explanation

The correct answer states that "Unapred zadatom verovatnocom sadrzi nepoznati parametar" which translates to "With a predetermined probability, it contains the unknown parameter." This means that the interval of confidence, which is calculated using a specific level of confidence, will contain the true value of the unknown parameter with that predetermined probability.

Submit

136. Diskretna slucajna promenljiva, odnosi se na:

Explanation

The correct answer is finite sets and countable sets. Discrete random variables can take on a finite number of values or a countably infinite number of values. Finite sets refer to sets that have a specific, limited number of elements, while countable sets refer to sets that can be put into a one-to-one correspondence with the natural numbers (0, 1, 2, 3, ...). This means that the values of a discrete random variable can either be a finite number of distinct outcomes or an infinite sequence that can be listed or enumerated.

Submit

137. Za standardnu normalnu raspodelu koristi se oznaka:

Explanation

The correct answer is c) because the standard normal distribution is commonly represented by the letter "Z". This distribution has a mean of 0 and a standard deviation of 1, and it is often used in statistical calculations and hypothesis testing.

Submit

138. Ovaj izraz omogucava izracunavanje:

Explanation

This expression allows for the calculation of variance and dispersion. Variance measures the spread between numbers in a dataset, while dispersion refers to the extent to which data points in a dataset are spread out. Both variance and dispersion provide information about the variability or spread of data. The expression does not allow for the calculation of standard deviation or arithmetic mean.

Submit

139. Koeficijent varijacije je dat kao:

Explanation

The coefficient of variation is a measure of relative variability and is calculated as the ratio of the sample standard deviation to the sample mean. It is used to compare the variability of different data sets that have different units or scales. In this case, the correct answer states that the coefficient of variation is the ratio of the sample standard deviation to the sample mean.

Submit

140. Verovatnoca u binomnoj raspodeli se procenjuje pomocu:

Explanation

The probability in a binomial distribution can be estimated using the normal distribution. The normal distribution is commonly used to approximate the binomial distribution when the sample size is large and the probability of success is not too close to 0 or 1. This approximation is based on the central limit theorem, which states that the sum of a large number of independent and identically distributed random variables approaches a normal distribution. Therefore, in this case, the normal distribution is the appropriate choice for estimating the probability in a binomial distribution.

Submit

141. Izraz sa slike je greska:

Explanation

The correct answer is "Aritmeticke sredine" (Mean). This is because the other options, Varijanse (Variance), Disperzije (Dispersion), and Standardnog odstupanja (Standard deviation), are all measures of variability or spread in a dataset, while the arithmetic mean is a measure of central tendency. Therefore, it is not an error or mistake but a valid statistical concept.

Submit

142. Raspodela diskretne slucajne promenljive moze se graficki prikazati

Explanation

The correct answer is "Poligonom raspodela, Histogramom raspodela." The distribution of a discrete random variable can be graphically represented by a polygon distribution or a histogram distribution. A polygon distribution is a graph that connects the points representing the values of the random variable, while a histogram distribution uses bars to represent the frequencies of each value. Both methods provide visual representations of the distribution of the random variable.

Submit

143. Kod normalne raspodele varijansa je:

Explanation

The correct answer is a) because the question is asking for the normal distribution variance. In statistics, the variance is a measure of how spread out the values in a data set are. The normal distribution is a symmetric bell-shaped curve, and its variance determines how spread out the data points are from the mean. Therefore, the correct answer is a) as it represents the variance for a normal distribution.

Submit

144. Kod standardne normalne raspodele varijansa je:

Explanation

not-available-via-ai

Submit

145. Statistika je nauka koja se bavi proucavanjem:

Explanation

Statistics is the science that deals with the study of mass phenomena and random phenomena. It involves collecting, analyzing, interpreting, presenting, and organizing data from a large population or sample. The focus is on understanding patterns, trends, and relationships within the data, rather than individual cases or deterministic events.

Submit

146. Statisticka hipoteza je ne parametarska, ako se odnosi na:

Explanation

The correct answer is "Raspodelu populacije." A non-parametric statistical hypothesis refers to the distribution of a population rather than specific parameters or characteristics of the population or sample. It focuses on the overall distribution of data rather than making assumptions about specific parameters such as means or variances.

Submit

147. Greske prvog reda nastaju kada je:

Explanation

The correct answer states that Type I errors occur when the null hypothesis is true, but we reject it. This means that we incorrectly conclude that there is a significant effect or difference when there is actually none. Type I errors are also known as false positives.

Submit

148. Pirsonov test koristi:

Explanation

The Pirsonov test uses both empirical and theoretical frequencies to analyze data. Empirical frequencies are based on actual observed data, while theoretical frequencies are based on expected values calculated using a specific model or theory. By comparing these two types of frequencies, the Pirsonov test can determine whether there is a significant difference between the observed data and the expected values, helping to assess the validity of a hypothesis or model.

Submit

149. Ovaj izraz predstavlja: 

Explanation

The correct answer is Laplasovu definiciju verovatnoce, Klasicnu definiciju verovatnoce, Apriori- definiciju verovatnoce. This means that the given expression represents Laplace's definition of probability, the classical definition of probability, and the apriori definition of probability.

Submit

150. Za funkciju raspodele neprekidne slucajne promenljive vazi:

Explanation

The correct answer states that the probability of X being equal to a is 0, which means that the continuous random variable X cannot take on a specific value with certainty. Additionally, the answer states that the probability of X being between a and b is equal to the difference between the cumulative distribution function (CDF) evaluated at b and the CDF evaluated at a. This is a valid statement as the CDF gives the probability of X being less than or equal to a certain value, and subtracting the CDF values at a and b gives the probability of X being between a and b.

Submit

151. Srednje vrednosti uzorka su:

Explanation

The modus is the value or values that appear most frequently in a sample. This means that the modus represents the most common value(s) in the data set. In this case, the modus is being listed as one of the measures of central tendency, along with the arithmetic mean, standard deviation, and variance. While the arithmetic mean represents the average value of the sample, the modus provides insight into the most frequently occurring value(s), which can be useful in understanding the distribution of the data.

Submit

152. Ocene parametara mogu biti:

Explanation

The correct answer is "Tackaste, Intervalne". The explanation for this answer is that ocene parametara can be categorized into two types: tackaste (point-based) and intervalne (interval-based). Tackaste ocene refer to specific points or values assigned to parameters, while intervalne ocene refer to ranges or intervals within which parameters fall. These two types of ocene parametara provide different ways of quantifying and evaluating parameters, allowing for a more comprehensive assessment of their values.

Submit

153. Ocena parametara:

Explanation

The given answer states that "Ocena parametara" is also known as "estimacija" and it uses parameters from a sample. This suggests that "Ocena parametara" is a term used to estimate or evaluate parameters based on a sample. It also implies that it does not use parameters from the entire population. The answer further clarifies that "Ocena parametara" is not the same as "testiranje hipoteze" (hypothesis testing), indicating that they are distinct concepts.

Submit

154. Statisticke hipoteze mogu da budu:

Explanation

This question is asking about the types of statistical hypotheses. Parametarske and Neparametarske are two types of statistical hypotheses. Parametarske hypotheses are based on parameters or population characteristics, while Neparametarske hypotheses do not make any assumptions about the population parameters. The other options, Kumulativne and Funkcionalne, are not types of statistical hypotheses.

Submit

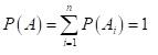
155. Potpuni sistem hipoteza cine dogadjaji:

Explanation

The correct answer is "Cije su verovatnoce unapred poznate, Ciji je zbir verovatnoca jednak 1." This answer suggests that the events in a complete system of hypotheses have known probabilities and the sum of these probabilities is equal to 1. This implies that all possible outcomes are accounted for and there is no uncertainty or ambiguity in the probabilities assigned to each hypothesis.

Submit

156. Srednje vrednosti uzorka su:

Explanation

The correct answer is "Medijana." The medijana is a measure of central tendency that represents the middle value of a dataset when it is sorted in ascending or descending order. It is useful in situations where extreme values or outliers may skew the aritmeticka sredina (arithmetic mean) or geometrijska sredina (geometric mean). The medijana provides a more robust estimate of the central value and is less affected by extreme values. The aritmeticka sredina is the average of all values in the dataset, the geometrijska sredina is the average of the logarithmic values, and the matematicko ocekivanje (mathematical expectation) is a concept in probability theory.

Submit

157. Statisticki podaci se graficki mogu predstaviti kao:

Explanation

Statistički podaci se mogu predstaviti graficki na nekoliko načina. Jedan od načina je korištenje poligona koji prikazuje promjene vrijednosti kroz vremensko razdoblje. Drugi način je upotreba histograma koji prikazuje distribuciju podataka na osnovu različitih kategorija. Također, podaci se mogu prikazati i kroz tablice koje pružaju detaljne informacije o vrijednostima.

Submit

158. Testovi mogu da budu:

Explanation

The correct answer is "Dvostrani, Levostrani, Desnostrani." This suggests that the tests can be double-sided, left-sided, and right-sided.

Submit

159. Ako se dogadjaji A i B medjusobno ne iskljucuju onda je verovatnoca zbira dogadjaja:

Explanation

The correct answer is P(A+B) = P(A) + P(B) - P(AB). This is known as the inclusion-exclusion principle in probability theory. It states that when events A and B are not mutually exclusive, the probability of their union is equal to the sum of their individual probabilities minus the probability of their intersection. This is because when we add the probabilities of A and B, we are counting the intersection (P(AB)) twice, so we need to subtract it once to correct for the overlap.

Submit

160. Oblast prihvatanja nulte hipoteze se definise sa:

Explanation

The correct answer is "Unapred poznatom verovatnocom". This means that the acceptance region of the null hypothesis is defined by a pre-known probability. In hypothesis testing, the acceptance region is the range of values for the test statistic that leads to the acceptance of the null hypothesis. This range is determined based on a predetermined level of significance, which corresponds to a specific probability. If the test statistic falls within this range, the null hypothesis is accepted.

Submit

161. Statisticka definicija verovatnoce je:

Explanation

The correct answer is "Rezultat prakse, Oslanja se na relativnu ucestalost." This is because the statistical definition of probability is based on empirical observations and practical experience. It involves studying the frequency or likelihood of an event occurring in relation to the total number of possible outcomes. Therefore, it is a result of practical observations and relies on the relative frequency of events.

Submit

162. Uslovna verovatnoca P(A/B)

Explanation

The correct answer is P(A/B) = P(AB) / P(B). This is the formula for conditional probability, which calculates the probability of event A given that event B has occurred. It is obtained by dividing the probability of both events A and B occurring (P(AB)) by the probability of event B occurring (P(B)).

Submit

163. Ako slucajna promenljiva X uzima vrednosti a,b,...,n, onda je funkcija raspodele:

Explanation

The given answer states that the cumulative distribution function (CDF) is equal to 0 for x less than a. This means that the probability of the random variable X taking on a value less than or equal to a is 0. In other words, the CDF is 0 in the interval (-∞, a]. This is a valid explanation based on the information provided.

Submit

164. Parametri koji reprezentuju centar rasturanja su:

Explanation

The correct answer is "Matematicko ocekivanje." In statistics, the center of dispersion is represented by the mean or average of a set of data. It is calculated by summing up all the values in the data set and dividing it by the total number of values. The mean represents the central tendency of the data and gives an idea of the average value. Variance, dispersion, and standard deviation are measures of spread or variability in the data, not the center of dispersion.

Submit

165. Izraz predstavlja:

Explanation

The given correct answer is "Matematicko ocekivanje neprekidne slucajne promenljive". This means that the expression represents the mathematical expectation of a continuous random variable.

Submit

166. Osobine matematickog ocekivanja su:

Explanation

The correct answer is D(X) = E(X^2) - E^2(X). This formula represents the variance of a random variable X. The variance measures the spread or dispersion of the values of X around its expected value. It is calculated by taking the difference between the expected value of X squared and the square of the expected value of X. This formula is a fundamental concept in probability and statistics, used to quantify the variability of a random variable.

Submit

167. Kod normalne raspodele matematicko ocekivanje je:

Explanation

The correct answer is a) because in a normal distribution, the mean or average is the measure of central tendency. It represents the balance point of the distribution, where half of the values are greater and half are smaller than the mean. Therefore, the mathematical expectation or expected value of a normal distribution is its mean.

Submit

168. Ovaj izraz predstavlja verovatnocu slucajne promenljive koja ima:

Explanation

This expression represents the probability of a random variable that follows a binomial distribution.

Submit

169. Ako slucajna promenljiva ima normalnu raspodelu N(μ, σ^2), onda njena aritmeticka sredina ima raspodelu:  

Explanation

In a normal distribution, the mean and variance are the two parameters that fully describe the distribution. Therefore, if a random variable with a normal distribution has its mean changed, the distribution will change, but if only the variance is changed, the shape of the distribution will remain the same. Thus, the correct answer is "Kod koje se samo disperzija menja" which means "In which only the variance changes" in English.

Submit

170. Ako se dogadjaji A i B medjusobno iskljucuju onda je verovatnocaa zbira dogadjaja:

Explanation

The correct answer is P(A+B) = P(A) + P(B). This is because when events A and B are mutually exclusive, it means that they cannot occur at the same time. Therefore, the probability of the union of events A and B is equal to the sum of their individual probabilities.

Submit

171. Bajesova formula zove se i:

Explanation

The Bajesova formula is also known as the formula for probability of hypothesis and the formula for probability of sample.

Submit

172. Ako su P(A) i P(B) verovatnoce dva nezavisna dogadjaja A i B, onda je verovatnoca da se bar jedan od njih nece realizovati:

Explanation

The correct answer is 1-P(A) * P(B). This is because the probability that at least one of the events A or B will not occur is equal to 1 minus the probability that both events A and B will occur.

Submit

173. Klasicna definicija verovatnoce:

Explanation

This answer states that the classical definition of probability was defined by Laplace, it applies only to finite sets, and all outcomes have equal probability.

Submit

174. Ako slucajna promenljiva X uzima vrednosti a,b,...,n, onda je funkcija raspodele:

Explanation

not-available-via-ai

Submit

175. Aksime teorije verovatnoce su:

Explanation

The correct answer states that the probability of the sum of events is equal to the sum of their individual probabilities. This is a fundamental principle in probability theory known as the addition rule. Additionally, the answer correctly states that probability is a number between 0 and 1, inclusive. This is because probabilities represent the likelihood of an event occurring, with 0 indicating impossibility and 1 indicating certainty.

Submit

176. Statisticka hipoteza je parametarska, ako se odnosi na:

Explanation

A statistical hypothesis is considered parametric if it relates to the parameters of a population. This means that the hypothesis is based on specific numerical values or characteristics of the population, rather than just any feature or attribute of the population or sample. In a parametric hypothesis, the aim is to make inferences or draw conclusions about the population parameters using statistical analysis and testing.

Submit

177. Greske drugog reda nastaju kada je:

Explanation

When the null hypothesis is incorrect and we accept it, or when the alternative hypothesis is true and we reject it, second-order errors occur.

Submit

178. Modus je:

Explanation

The correct answer is "Vrednost obelezja sa najvecom frekvencijom, Moze da ih bude vise." This is because the term "modus" refers to the value or values that occur most frequently in a dataset. In this case, it is stated that the modus can be multiple values, meaning there can be more than one value with the highest frequency in the dataset.

Submit

179. Za normalnu raspodelu koristi se oznaka:

Explanation

The correct answer is d) because the question is asking for the notation used for a normal distribution. The notation commonly used for a normal distribution is "N" or "N(μ, σ^2)", where μ represents the mean and σ^2 represents the variance. Option d) does not provide any specific notation, so it can be inferred that it represents the general notation used for a normal distribution.

Submit

180. Izraz sa slike predstavlja:

Explanation

The expression in the image represents the non-centered estimate of variance and the non-centered estimate of dispersion.

Submit

181. Funkcija gustine kod normalne raspodele je:

Explanation

The correct answer is a) because the density function for a normal distribution is a bell-shaped curve, also known as a Gaussian distribution. It is characterized by its mean and standard deviation, and it represents the probability distribution of a continuous random variable. The density function describes the relative likelihood of observing different values of the variable, with the highest probability at the mean and decreasing as the values move away from the mean.

Submit

182. Pouzdanost sistema koji se sastoji od dve paralelno povezane komponente je:

Explanation

The given formula for the reliability of a system consisting of two parallel components is 1-(1-p1) * (1-p2). This formula accounts for the probability of failure of each component (p1 and p2) and calculates the probability of both components failing simultaneously. By subtracting this probability from 1, we get the reliability of the system, which represents the probability of the system functioning properly.

Submit

183. Verovatnoca proizvoda zavisnih dogadjaja A i B je:

Explanation

The correct answer is P(AB) = P(A/B) * P(B). This answer is derived from the definition of conditional probability. The probability of the joint occurrence of events A and B is equal to the probability of event A given event B, multiplied by the probability of event B. This formula is commonly used in probability calculations when dealing with dependent events.

Submit

184. Funkcija raspodele:

Explanation

The correct answer suggests that the function of distribution gives important characteristics of a random variable, it is a completely known mathematical function, and it maps random variables to the real numbers.

Submit

185. Osobine matematickog ocekivanja su:

Explanation

The given answer states two properties of mathematical expectation. The first property is E(C) = C, which means that the expectation of a constant C is equal to that constant itself. The second property is E(CX) = CE(X), which states that the expectation of a constant multiplied by a random variable X is equal to the constant multiplied by the expectation of X. These properties are fundamental in calculating mathematical expectations and are widely used in probability theory and statistics.

Submit

186. Osobine varijanse su:

Explanation

The correct answer is D(C) = 0 and D(CX) = C^2 * D(X). These equations represent the properties of variance.

The first equation, D(C) = 0, states that the variance of a constant C is always zero. This is because there is no variability in a constant value.

The second equation, D(CX) = C^2 * D(X), shows that the variance of a constant multiplied by a random variable X is equal to the constant squared multiplied by the variance of X. This property is useful in calculating the variance of scaled or transformed random variables.

Submit

187. U poasonovoj raspodeli parametar λ predstavlja:

Explanation

The parameter λ in a Poisson distribution represents the average or mean number of events that occur in a given time interval or region. It is used to describe the distribution of rare events that occur independently of each other. The λ parameter is used to calculate the probability of a specific number of events occurring within the given time interval or region. Therefore, it represents both the average or mean number of events and the expected or average value of the distribution.

Submit

188. Funkcija raspodele kod normalne raspodele je:

Explanation

not-available-via-ai

Submit

189. Ceo statisticki skup zove se:

Explanation

The correct answer is "Populacija, Statisticka masa, Masa". In statistics, a "populacija" refers to the entire group of individuals or objects that we are interested in studying. "Statisticka masa" is a term used to describe the total quantity or amount of data in a given population. "Masa" refers to the total number of individuals or objects in a population. Therefore, all three options are relevant to the concept of a statistical dataset or population.

Submit

190. Tackasta ocena je:

Explanation

The correct answer is a combination of three options: "Slucajna promenljiva" (random variable), "Konstanta - broj" (constant - number), and "Broj tek kada se definise konkretni uzorak" (number only when a specific sample is defined). This suggests that the given answer is a combination of these three options, indicating that the correct answer is a random variable that can also be a constant number, but it becomes a number only when a specific sample is defined.

Submit

191. Slucajne promenljive mogu da budu:

Explanation

The correct answer is "Diskretne, Neprekidne". This means that random variables can be either discrete or continuous. Discrete random variables take on a finite or countable number of values, while continuous random variables can take on any value within a certain range.

Submit

192. Ako je uslov sa slike ispunjen, onda je tackasta ocena:

Explanation

If the condition from the image is fulfilled, then the dotted mark is centered and unbiased.

Submit

193. Statisticka hipoteza je svaka pretpostavka koja se odnosi na:

Explanation

A statistical hypothesis is a statement or assumption made about the parameters or distribution of a population. It can be used to make predictions or draw conclusions about a population based on sample data. In this case, the correct answer suggests that a statistical hypothesis relates to both the parameters of a population (such as mean or standard deviation) and the distribution of the population (such as normal or binomial distribution).

Submit

194. Dogadjaji A i B su nezavisni ako su:

Explanation

The correct answer is "Disjunktni, Realizacija jednog ne utice na realizaciju drugog, P(AB) = P(A) * P(B)". This answer suggests that events A and B are independent. This means that the occurrence of one event does not affect the occurrence of the other event. Additionally, the probability of both events A and B happening together (P(AB)) is equal to the product of the individual probabilities of each event (P(A) * P(B)).

Submit

195. Xi-kvadrat raspodelu koristimo kod definisanja intervala poverenja za:

Explanation

The correct answer states that the chi-square distribution is used when the population variance is unknown. This distribution is commonly used in statistical inference to construct confidence intervals for the population variance or standard deviation when the true variance is not known.

Submit

196. Interval poverenja se definise oko:

Explanation

Interval poverenja se definiše oko tačkaste ocene nepoznatog parametra. To znači da se interval poverenja koristi kako bi se procenila nepoznata vrednost parametra na osnovu uzorka. Interval poverenja pruža raspon vrednosti unutar kojeg se sa određenim nivoom sigurnosti može nalaziti tačna vrednost parametra. Ova tačkasta ocena se obično dobija kao srednja vrednost uzorka ili neka druga statistička mera.

Submit

197. Slucajna promenljiva:

Explanation

The correct answer is "Nema odredjene vrednosti, Se odnosi na verovatnocu uzimanja neke vrednosti." This answer correctly states that a random variable does not have a specific value and is related to the probability of taking certain values. Random variables can take on different values with certain probabilities, and they are used to model uncertain events or outcomes in probability theory and statistics.

Submit

198. Izraz predstavlja:

Explanation

The given answer, "Varijansu neprekidne slucajne promenljive," translates to "Variance of a continuous random variable" in English. This suggests that the expression represents the measure of how much the values of a continuous random variable vary around the mean. Variance is a statistical concept that quantifies the spread or dispersion of a set of data points, and it is commonly used in probability theory and statistics to analyze random variables.

Submit

199. Ovaj izraz omogucava izracunavanje:

Explanation

This expression allows for the calculation of the standard deviation.

Submit

200. Kod standardne normalne raspodele matematicko ocekivanje je:

Explanation

The question is asking for the standard deviation of the standard normal distribution. The standard deviation of a standard normal distribution is always equal to 1. This is because the standard normal distribution has a mean of 0 and a standard deviation of 1, which means that the values in the distribution are spread out around the mean by a distance of 1 standard deviation. Therefore, the correct answer is c) 1.

Submit
×
Saved
Thank you for your feedback!
View My Results
Cancel
  • All
    All (200)
  • Unanswered
    Unanswered ()
  • Answered
    Answered ()
Oznaka Ω koristi se za oznacavanje:
Dogadjaji A, B i C su nezavisni i verovatnoce im iznose 1/2, 1/3 i...
U izrazu sa slike, za nivo poverenja β obicno se uzima:
Statisticke hipoteze se podvrgavaju:
Prvi problemi iz teorije verovatnoce su vezani za:
Verovatnoca da prilikom bacanja 3 novcica dobijemo 3 puta glavu je:
Idealan test ima:
Verovatnoca je preslikavanje:
Dogadjaji A i B su nezavnisni ako je:
Skup ( 2, 2, 5, 7, 9, 9, 9, 10, 10, 13, 15 ) ima modus:
Prilikom testiranja hipoteza pojavljuju se greske, mogu da budu:
Ako je dogadjaj A da je sijalica proizvedena u prvoj fabrici, a...
Aksiomatiku verovatnoce definisao je:
Skup svih ishoda dogadjaja " Bacanje 2 kocke " ima:
Ako su P(A) i P(B) verovatnoce dva nezavisna dogadjaja A i B, onda...
Za centriranu tackastu ocenu matematickog ocekivanja populacije uzima...
Testiranje hipoteze podrazumeva postavljanje:
Skup svih ishoda nekog dogadjaja je:
Skup svih ishoda dogadjaja " Bacanje 3 novcica " ima:
Uobicajeno je da se statistike - parametri uzorka obelezavaju:
Suprotan dogadjaj dogadjaju "Pojava 2 glave pri bacanju 2 dinara...
Ovaj izraz izracunava:
Ako se dogadjaji A i B iskljucuju (disjunktni su) i P(A) =...
Pouzdanost sistema:
Uobicajeno je da se parametri popluacije obelezavaju:
Ocena je najefikasnija ako ima:
Statisticka hipoteza moze da bude:
Verifikacija statisticke hipoteze je:
Aksime teorije verovatnoce su:
Suprotan dogadjaj dogadjaju A:
Skup svih povoljnih realizacija dogadjaja " Vadjenje 2 crvene...
Siguran dogadjaj:
Ako se dogadjaji A, B i C medjusobno ne iskljucuju onda je verovatnoca...
Ocena je najefikasnija ako ima:
Sta je najpreciznije reci:
Ako su P(A) i P(B) verovatnoce dva nezavisna dogadjaja A i B, onda je...
Kod funkcija raspodele:
Ovaj izraz omogucava izracunavanje:
Ovaj izraz omogucava izracunavanje:
Ako je uslov sa slike ispunjen, onda je tackasta ocena:
Hipoteza H0 se naziva:
Ako su P(A) i P(B) verovatnoce dva nezavisna dogadjaja A i B, onda je...
Veza izmedju funkcija gustine i funkcije raspodele za neprekidnu...
Funkcija raspodele za neprekidnu slucajnu promenljivu zadovoljava...
Normalna raspodela se zove i:
Skup ( 1, 3, 4, 4, 5, 6, 8, 8, 10 ) :
Ako je uslov sa slike ispunjen, onda je tackasta ocena:
Resavanje problema pojave gresaka resava se:
Ako je dogadjaj A da je sijalica proizvedena u prvoj fabrici, a...
Poasonova raspodela odnosi se na verovatnoce slucajnih promenljivih u:
Da bi uzorak bio reprezentativan mora da:
Ovaj izraz predstavlja obrazac za izracunavanje:
Ako trazimo interval poverenja za nepoznato matematicko ocekivanje, a...
Dogadjaj je slucajan ako:
Kod definisanja slucajne promenljive moramo znati:
Ako je slucajna promenljiva X ishod bacanja kocke, tada F(X) =...
Ako je slucajna promenljiva X ishod bacanja kocke, tada je F(X) =...
Ovaj izraz je:
Ako slucajna promenljiva ima normalnu raspodelu, tada aritmeticka...
Uzorak se definise pod sledecim uslovima:
Tackasta ocena matematickog ocekivanja je:
Interval poverenja je:
Za testiranje neparametarskih hipoteza koristi se:
Suprotan dogadjaj dogadjaju " Ne vise od 2 pogotka u 5 gadjanja...
Verovatnoca proizvoda nezavisnih dogadjaja A i B je:
Bernulijevi eksperimenti su niz eksperimenata koji:
Binomna raspodela se moze aproksimirati Poasonovom raspodelom ako je:
Disperzija kod Poasonove raspodele iznosi:
Skup ( 2, 5, 7, 9, 10, 13, 15 ) ima modus:
Koeficijent varijacije se koristi kada:
Najcesce koriscena tackasta ocena matematickog ocekivanja je:
Verovatnoca je nauka koja izucava:
Ako je zadovoljena veza 
Funkcija gustine za neprekidnu slucajnu promenljivu zadovoljava uslov...
Kod varijansa je:
Ovaj izraz predstavlja verovatnocu slucajne promenljive koja ima:
U izrazu sa slike, velicina β se zove:
Broj α nazivamo:
Hipoteza H1 se naziva:
Hipoteza H1 je:
Ako se dogadjaji A i B iskljucuju (disjunktni su) i P(A) =...
Disperzija kod binomne raspodele iznosi:
Harmonijska sredina se koristi kada su:
Intervali za ocenu parametara se zovu:
Ako je P( 2 <= x <= 9 ) i N(0,1) onda je:
Ovaj izraz predstavlja obrazac za izracunavanje:
Disperzija je mera odstupanja i predstavlja
Ovaj izraz izracunava:
Ovaj izraz izracunava:
Kod testiranja hipoteze sa slike, a disperzija je poznata, koristimo:
Kada kazemo da je verovatnoca 95%, kod testiranja hipoteza, to znaci...
Ovaj izraz predstavlja:
Nemoguc dogadjaj:
Ako su P(A) i P(B) verovatnoce dva nezavisna dogadjaja A i B, onda je...
Funkcija raspodele:
Ako slucajna promenljiva X uzima vrednosti a,b,...,n, onda je funkcija...
Matematicko ocekivanje kod Poasonove raspodele iznosi:
Varijansa je mera odstupanja i predstavlja:
Kod testiranja hipoteze sa slike, a disperzija je nepoznata,...
Klasicna definicija verovatnoce odnosi se na eksperimente:
U uslovnoj verovatnoci P(A/B):
Verovatnoca proizvoda zavisnih dogadjaja A, B i C je:
Funkcija raspodele:
Osobine matematickog ocekivanja su:
Ako se vrsi aproksimacija binomne raspodele normalnom, slucajna...
Medijana je:
Ovaj izraz izracunava:
Zakljucak testa moze da bude:
Hipoteza H0 je:
Ako se novcic baca 200 puta i zelimo da odredimo verovatnocu da ce se...
Ako se vrsi aproksimacija binomne raspodele normalnom, koristimo vezu:
Bacamo kocku i novcic. Dogadjaji da padne pismo i da padne broj 5 su:
Za funkciju raspodele neprekidne slucajne promenljive vazi:
Matematicko ocekivanje se jos naziva:
Ako je A aritmeticka, G geometrijska i H harmonijska sredina onda vazi...
Poligon raspodele se dobija kada se:
Ako trazimo interval poverenja za nepoznato matematicko ocekivanje, a...
Bacamo kocku. Dogadjaji da padne paran broj ili da padne broj 4 su:
Funkcija raspodele je:
Pouzdanost sistema koji se sastoji od dve redno povezane komponente...
Ako je ___ i N(0,1) onda je:
Osobine matematickog ocekivanja su:
Slucajan eksperiment mora da:
Ako je P( -2 <= x <= 9 ) i N(0,1) onda je:
U ovom izrazu, X nadvuceno predstavlja:
Tackasta ocena parametra je:
Izraz sa slike predstavlja:
Matematicko ocekivanje kod binomne raspodele iznosi:
Ako slucajna promenljiva ima normalnu raspodelu...
Kod diskretne slucajne promenljive, funkcija raspodele se zove:
Dve najvaznije diskretne raspodele su:
Izraz predstavlja: 
Ako je u pitanju binomna raspodela i np > 10, aproksimacija se...
Ovaj izraz izracunava:
Interval poverenja
Diskretna slucajna promenljiva, odnosi se na:
Za standardnu normalnu raspodelu koristi se oznaka:
Ovaj izraz omogucava izracunavanje:
Koeficijent varijacije je dat kao:
Verovatnoca u binomnoj raspodeli se procenjuje pomocu:
Izraz sa slike je greska:
Raspodela diskretne slucajne promenljive moze se graficki prikazati
Kod normalne raspodele varijansa je:
Kod standardne normalne raspodele varijansa je:
Statistika je nauka koja se bavi proucavanjem:
Statisticka hipoteza je ne parametarska, ako se odnosi na:
Greske prvog reda nastaju kada je:
Pirsonov test koristi:
Ovaj izraz predstavlja: 
Za funkciju raspodele neprekidne slucajne promenljive vazi:
Srednje vrednosti uzorka su:
Ocene parametara mogu biti:
Ocena parametara:
Statisticke hipoteze mogu da budu:
Potpuni sistem hipoteza cine dogadjaji:
Srednje vrednosti uzorka su:
Statisticki podaci se graficki mogu predstaviti kao:
Testovi mogu da budu:
Ako se dogadjaji A i B medjusobno ne iskljucuju onda je verovatnoca...
Oblast prihvatanja nulte hipoteze se definise sa:
Statisticka definicija verovatnoce je:
Uslovna verovatnoca P(A/B)
Ako slucajna promenljiva X uzima vrednosti a,b,...,n, onda je funkcija...
Parametri koji reprezentuju centar rasturanja su:
Izraz predstavlja:
Osobine matematickog ocekivanja su:
Kod normalne raspodele matematicko ocekivanje je:
Ovaj izraz predstavlja verovatnocu slucajne promenljive koja ima:
Ako slucajna promenljiva ima normalnu raspodelu...
Ako se dogadjaji A i B medjusobno iskljucuju onda je verovatnocaa...
Bajesova formula zove se i:
Ako su P(A) i P(B) verovatnoce dva nezavisna dogadjaja A i B, onda je...
Klasicna definicija verovatnoce:
Ako slucajna promenljiva X uzima vrednosti a,b,...,n, onda je funkcija...
Aksime teorije verovatnoce su:
Statisticka hipoteza je parametarska, ako se odnosi na:
Greske drugog reda nastaju kada je:
Modus je:
Za normalnu raspodelu koristi se oznaka:
Izraz sa slike predstavlja:
Funkcija gustine kod normalne raspodele je:
Pouzdanost sistema koji se sastoji od dve paralelno povezane...
Verovatnoca proizvoda zavisnih dogadjaja A i B je:
Funkcija raspodele:
Osobine matematickog ocekivanja su:
Osobine varijanse su:
U poasonovoj raspodeli parametar λ predstavlja:
Funkcija raspodele kod normalne raspodele je:
Ceo statisticki skup zove se:
Tackasta ocena je:
Slucajne promenljive mogu da budu:
Ako je uslov sa slike ispunjen, onda je tackasta ocena:
Statisticka hipoteza je svaka pretpostavka koja se odnosi na:
Dogadjaji A i B su nezavisni ako su:
Xi-kvadrat raspodelu koristimo kod definisanja intervala poverenja za:
Interval poverenja se definise oko:
Slucajna promenljiva:
Izraz predstavlja:
Ovaj izraz omogucava izracunavanje:
Kod standardne normalne raspodele matematicko ocekivanje je:
play-Mute sad happy unanswered_answer up-hover down-hover success oval cancel Check box square blue
Alert!